cfDNA甲基化突破性液體活檢方法cfMeDIP-seq臨床驗證研究
瀏覽次數:529 發布日期:2025-7-30
來源:本站 僅供參考,謝絕轉載,否則責任自負
近日,加拿大多倫多大學瑪格麗特公主癌癥中心D D De Carvalho團隊在腫瘤學領域TOP頂刊《ANNALS OF ONCOLOGY》雜志發表題為《Clinical validation of a tissue-agnostic genome-wide methylome enrichment molecular residual disease assay for head and neck malignancies》的科研成果。研究驗證了一種基于組織無關(tissue-agnostic)的cfDNA全基因組甲基化富集測序方法(cfMeDIP-seq)檢測頭頸癌(head and neck cancer, HNC)患者分子殘留病(molecular residual disease, MRD)的臨床應用價值。研究納入325名I-IVB期HNC患者,通過縱向收集外周血漿樣本,利用cfMeDIP-seq技術檢測MRD,并評估其與臨床復發的相關性。

標題:Clinical validation of a tissue-agnostic genome-wide methylome enrichment molecular residual disease assay for head and neck malignancies(頭頸惡性腫瘤分子殘留病灶檢測的組織無關全基因組甲基化富集臨床驗證研究)
發表時間:2024年9月14日
發表平臺:ANNALS OF ONCOLOGY(Ann Oncol)
影響因子:IF65.4/Q1
技術平臺:cfMeDIP-seq(易基因金牌技術)
作者單位:加拿大多倫多大學瑪格麗特公主癌癥中心D D De Carvalho等
DOI:10.1016/j.annonc.2024.08.2348
對于接受根治性治療的局部晚期頭頸癌(HNC)患者,其治療效果仍不盡如人意,5年生存率僅為50%。大多數復發發生在治療后的前兩年,這為識別分子殘留病(MRD)提供時間窗口。在人乳頭瘤病毒(HPV)陽性和陰性HNC患者中,由于組織樣本常常稀缺,需要一種與組織無關的MRD檢測方法。
本研究納入包括HPV陽性和陰性的I-IVB期HNC患者,并在診斷時以及根治性治療后約3、12、24個月縱向收集外周血漿樣本。隊列包括325名患者,共1155個樣本,樣本分為不同的集合,用于訓練和驗證一個能夠識別MRD的分類器,該分類器基于一種與組織無關的全基因組甲基化富集平臺(cfMeDIP-seq),主要終點是無復發生存率(recurrence-free survival, RFS)。
隊列研究結果表明,中位隨訪時間60個月時,盲法驗證集中MRD陽性患者經歷顯著更差的RFS,風險比(hazard ratio, HR)為35.7。HPV陰性患者HR為42.3,HPV陽性口咽癌患者HR為24.1。MRD陽性與臨床復發之間的時間間隔最長可達14.9個月,平均提前時間為4.1個月。監測靈敏度91%,特異性88%。
研究驗證了HNC患者MRD檢測的cfDNA全基因組甲基化富集檢測方法的臨床性能特征。該MRD檢測方法在不同的解剖部位、HPV狀態和治療方案中,顯示出高敏感性和高特異性地鑒定復發能力,突顯了其在HNC患者MRD檢測中的廣泛適用性。
研究方法
- 研究納入325名I-IVB期HNC患者,包括HPV陽性和陰性患者。在診斷時以及治療后3、12、24個月分別收集外周血漿樣本,總共收集了1155個樣本。
- 甲基化測序:利用cfMeDIP-seq技術對cfDNA進行甲基化分析。該技術通過免疫沉淀富集甲基化的cfDNA片段,然后進行高通量測序,具有無需化學或酶促轉化、非降解、高信號與噪聲比等優點。
- 將樣本分為訓練集和驗證集。通過訓練集開發了一個分類器,用于識別MRD陽性樣本,并在驗證集中進行驗證。分類器通過分析cfDNA甲基化模式來判斷MRD狀態。
- 主要終點是無復發生存率(RFS)。比較MRD檢測陽性和陰性患者的RFS,并使用Cox比例風險模型估計風險比(HR)。
結果圖形
這是一種與無需依賴組織樣本的cfDNA檢測方法,用于檢測HPV陽性和陰性頭頸癌(HNC)患者的分子殘留病(MRD),具有非侵入性。臨床盲試驗表明,通過MRD陽性狀態分層的無復發生存率(RFS)存在顯著差異。在臨床表現或影像學檢查之前檢測到復發,提前時間最長可達14.9個月(平均4.1個月)。在不同解剖部位、HPV狀態和治療方案中觀察到相似的性能,突顯了廣泛的適用性。
(1)樣本收集
研究共納入325名患者,訓練集163人,驗證集162人。在可分析數據集(n=149)中,大多數患者年齡在50-69歲之間(66%),白人(71%),男性(77%)。報告吸煙史的患者中,68%為前吸煙者或現吸煙者。早期患者(I-II期)占54%。最常見的解剖亞型為口咽癌(48%)和唇/口腔癌(23%)。口咽癌中HPV陽性率為75%。大多數患者(95%)為鱗狀細胞癌。樣本因質控失敗的總失敗率低(0.2%)。
圖1:頭頸癌患者及其儲存的血漿樣本。

表1:診斷時的患者人口統計學和臨床特征
(2)ctDNA分析
利用非盲訓練集(n=163患者),開發了一個分類器,用于檢測治療前樣本和治療后復發樣本(MRD陽性)中的ctDNA甲基化信號,與治療后無復發樣本(MRD陰性)進行比較。在外部獨立數據集中,這些差異甲基化區域在HNC組織中呈高甲基化狀態,與正常組織和健康外周血白細胞相比具有顯著差異(P<0.0001),表明分類器能夠檢測到ctDNA甲基化信號。
圖2:cfMeDIP-seq概述
圖3:按組織樣本類型劃分的癌癥信號
算法所使用的差異甲基化區域(DMRs)在實體腫瘤組織中的甲基化水平較高,而在外周血淋巴細胞(PBL)和實體正常組織中未發生甲基化。這與該檢測方法特異性識別由腫瘤細胞釋放的甲基化DNA一致。將DMRs與文獻中HNC組織樣本的注釋進行比較,結果表明該算法對癌細胞甲基化具有特異性。
(3)MRD檢測與臨床結果的關聯
在驗證集中,MRD陽性患者的無復發生存率(RFS)顯著降低,風險比(HR)為35.7。HPV陰性患者HR為42.3;HPV陽性口咽癌患者HR為24.1。MRD陽性與臨床復發之間的時間間隔最長可達14.9個月,平均為4.1個月。
圖4:驗證集中通過MRD監測檢測的事件發生時間的Kaplan–Meier分析。
(A)所有患者(n=124)的無復發生存率(RFS)
(B)所有患者(n=124)的總生存率(OS)
(C)HPV陰性亞組(n=72)
(D)HPV陽性亞組(n=52)
HPV陰性亞組包括HPV陰性的口咽癌(OPC)以及其他頭頸癌部位。風險比(HR)后跟括號內的95%置信區間。HPV:人乳頭瘤病毒;HR:風險比;MRD:分子殘留病;OPC:口咽癌;OS:總生存率;RFS:無復發生存率。
(4)性能
在總體人群中,監測靈敏度為91%(95%CI 77%-97%),特異性為88%(95%CI 80%-93%),陽性預測值(PPV)為74%(95%CI 59%-85%),陰性預測值(NPV)為96%(95%CI 90%-99%)。在不同HPV狀態和治療方案的亞組中,靈敏度和特異性沒有顯著差異。
表2:按HPV狀態和治療亞組劃分的cfMeDIP-seq檢測MRD性能
cfMeDIP-seq:游離細胞甲基化DNA免疫沉淀高通量測序;CI:置信區間;CRT:化療放療;HNC:頭頸癌;HPV:人乳頭瘤病毒;MRD:分子殘留病;NPV:陰性預測值;OPC:口咽癌;PPV:陽性預測值;RT:放療。
(5)單變量和多變量分析
單變量分析顯示,MRD檢測、分期、HPV狀態、種族、年齡和吸煙史與RFS顯著相關。在多變量分析中,MRD檢測結果是預測復發的最強指標(P<0.0001)。在考慮臨床因素后,添加MRD檢測狀態可顯著改善復發預測(P<0.0001)。
表3:單變量和多變量Cox比例風險模型
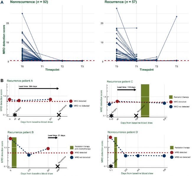
(6)MRD檢測評分變化與結果相關
從治療前(T0)到治療后(T1-T3)樣本的MRD檢測評分軌跡顯示,未復發患者的MRD檢測評分在治療完成后迅速下降并保持低水平。對于復發患者,許多患者的MRD檢測評分在治療后下降(部分仍高于閾值),但在監測期間大多數復發患者的評分有所增加。例如,復發患者A在治療前評分較高,手術后下降,復發前增加,所有三個血液樣本的評分均高于閾值,MRD在確認復發前364天被檢測到。
圖5:MRD檢測評分的變化與結果相關。
(A)非復發患者和復發患者的MRD檢測評分軌跡。紅色虛線顯示確定樣本是否檢測到MRD閾值。
(B)代表性案例研究:四名患者的MRD檢測。所有四名患者均為鱗狀細胞癌。患者A患有III期唇和口腔癌,HPV狀態不明。患者B患有III期HPV陽性口咽癌。患者C患有I期HPV陽性口咽癌。患者D患有IVA期唇和口腔癌且無復發。紅色虛線顯示確定樣本是否檢測到MRD閾值。星號表示手術日期。陰影矩形區域表示放療或化療的時間段。點表示從基線治療前血液抽取的特定天數的MRD檢測評分;紅色點表示檢測到MRD;藍色點表示未檢測到MRD。X標記復發日期。圖中還顯示復發的提前時間。
結論和討論
本研究驗證了cfMeDIP-seq技術在HNC患者MRD檢測中的臨床應用價值。該技術具有高靈敏度和特異性,能夠在不同解剖部位、治療方案和HPV狀態的患者中檢測MRD,為早期干預提供了可能。cfMeDIP-seq技術的組織無關性和低失敗率使其在HNC患者的臨床監測中具有廣泛的應用前景。未來的研究應進一步探索該技術在其他癌癥類型中的應用,并驗證其在前瞻性研究中的臨床效用。
研究亮點
創新性:該研究提出了一種新的、組織無關的MRD檢測方法——cfMeDIP-seq,研究結果表明,該檢測方法能夠顯著改善HNC患者的預后評估和治療決策,具有重要的臨床應用價值。
嚴謹的研究設計:通過大規模的樣本收集、嚴格的統計分析以及多變量模型的驗證,研究結果具有較高的可信度和科學性。
跨學科合作:該研究涉及腫瘤學、生物信息學、分子生物學等多個學科的合作,展示了跨學科研究在解決臨床問題中的強大潛力。
參考文獻:
Liu G, et al. Clinical validation of a tissue-agnostic genome-wide methylome enrichment molecular residual disease assay for head and neck malignancies. Ann Oncol. 2024 Sep 14.doi: 10.1016/j.annonc.2024.08.2348.