A型肉毒桿菌毒素搭配機器人在改善運動康復助力中風肌肉痙攣中的應用
瀏覽次數:364 發布日期:2025-9-19
來源:本站 僅供參考,謝絕轉載,否則責任自負
中風肌肉痙攣怎么破?“美容針”搭配機器人改善運動康復
引言/背景介紹
機器人輔助療法在中風神經康復中廣泛應用。機器人可通過精準檢測患者的表面肌電(EMG )信號,實現如開關控制、比例控制、基于肌電模式識別的控制,以同步輔助患者完成握拳等動作訓練。然而由于中風患者神經損傷,肌肉經常出現痙攣現象(不自主的肌肉僵硬或收縮),干擾了機器人對EMG檢測的準確性,進而導致輔助康復受限。
機器人輔助療法
中風后肌肉痙攣
在醫療美容領域,A 型肉毒桿菌毒素(BoNT-A,即常說的 “瘦臉針”“除皺針” 核心成分)是應用最廣泛的微創美容材料之一,核心原理是通過暫時阻斷神經與肌肉間的信號傳遞,減少肌肉過度活動,從而改善因肌肉運動過度導致的外觀問題。研究發現,A型肉毒桿菌毒素(BoNT-A)是治療中風后痙攣的有效方法,那么其對中風患者運動檢測是否有影響呢?
來自康復大學的周平團隊在 2024 年第 17 屆國際康復工程與輔助技術大會上發表了題為《Effect of Botulinum Toxin Type A on EMG-based Motion Detection: a Pilot Study on Post-Stroke Patients》的文章,揭示了 A 型肉毒桿菌毒素(BoNT-A)可通過降低中風后患者的肌肉痙攣程度,提升基于肌電圖(EMG)的運動檢測準確性(平均提高 9.5±3.5%),進而可能改善機器人輔助中風康復的人機交互體驗。
圖 1. 論文信息
研究方法與結果呈現
本研究共招募了4名中風后偏癱且伴隨中重度痙攣的患者(MAS評分2–3),所有受試者均接受了臨床常規的BoNT-A注射治療。在治療前及治療后兩周分別對患者的屈指淺肌(flexor digitorum superficiali, FDS)進行了常規的功能性測量:通過Fugl-Meyer手功能評分(FMA-C)來評估手部運動能力,用改良Ashworth量表(MAS)量化痙攣程度,并使用握力計檢測手部的最大收縮力。這些臨床指標為BoNT-A的干預效果提供了基礎參考。
研究人員利用HD-EMG技術進行數據采集,采集設備為TMSi公司(荷蘭)研發的SAGA高密度肌電采集系統(圖2)。他們在患者的屈指淺肌表面貼附了一塊64通道(8*8)柔性電極陣列,電極直徑4mm,間距4mm,能夠捕捉到極為精細的肌電信號。實驗過程中,患者坐在桌前,肘部和肩關節保持在指定角度,手臂放松。研究人員指導受試者通過自主等長收縮1完成手部閉合動作(方式為握棒球),并盡可能穩定保持 5 秒以上。為避免受試者出現精神疲勞和肌肉疲勞,在連續兩次動作之間有充足的休息。
注1:等長收縮(isometric contractions):指肌肉在收縮過程中長度保持不變,但產生張力的收縮形式,如保持特定姿勢時的肌肉活動,文中 “握棒球并穩定保持” 即屬于此類收縮。
圖2. 使用SAGA設備進行高密度肌電信號采集實驗設置
研究人員通過視覺檢查確定運動起始與終止(真值),將每個試次分為運動前、運動中(自主收縮)、運動后三段,每段再分為400ms 無重疊分析窗,運動中窗標記為 “收縮”,運動前 / 后窗標記為 “休息”。同時采用運動檢測算法來標記EMG的“收縮”和“休息”。該方法基于振幅的閾值法,即分析400ms的EMG信號均方根(RMS),幅值超過閾值,就判定為運動,否則視為靜息。這一方法雖常用于健康受試者的運動檢測,卻對痙攣患者來說存在問題:因為在痙攣的作用下,即便患者處于靜息狀態,也常常出現自發放電,從而被誤判為運動。研究人員對運動前、運動中(自主收縮)、運動后三個階段的準確性采用 0.25、0.5 和 0.25 的權重進行加權平均,以此估算該次實驗的整體運動檢測準確性。通過微調閾值,可得到BoNT-A的干預前后兩次實驗的最大運動檢測準確性。
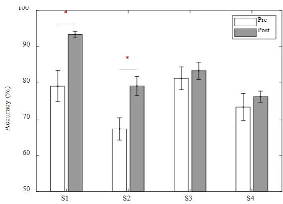
實驗結果表明,BoNT-A治療不僅減輕了痙攣,所有 4 名患者治療后 MAS 評分均降低(圖3),還顯著改善了動作檢測效果。如圖4所示,四名受試者的檢測準確率平均提升約9.5% ± 3.5%,其中兩名患者的改善具有統計學意義(p < 0.05)。
圖3. 卒中受試者人口統計學資料以及BoNT-A治療前后功能性測量得分
圖4. BoNT - A治療前后運動檢測準確率
治療前,患者在實際休息階段的肌電信號中常夾雜大量“偽動作”(痙攣),超過四分之一的信號窗口被誤判為運動;治療后,這類痙攣信號顯著減少,運動檢測算法誤判比例下降至20%以下(圖5)。換言之,BoNT-A幫助肌電信號在休息階段變得更加“安靜”,讓系統更容易識別真正的動作意圖(圖6)。
圖5. 受試者S1在BoNT-A治療前( A )和治療后( B )所有分析窗口的RMS值分布情況。微調后的閾值對應于運動檢測中的最大精度,如水平方向灰色虛線所示
圖6. 受試者S1的運動檢測結果。檢測到運動的分析窗口以灰色背景顯示。( A ) BoNT - A治療前的代表性結果。( B ) BoNT - A治療后的代表性結果。CH n 表示第n個通道
總結與討論:BoNT-A讓康復機器人更“懂”患者的運動意圖
隨著BoNT-A抗痙攣治療與高密度肌電技術的結合不斷深入,基于EMG的運動意圖識別正從“模糊的信號捕捉”走向“清晰、魯棒的人機交互”。本研究通過對比治療前后的肌電信號變化,驗證了BoNT-A不僅能緩解痙攣,還能讓肌電信號“安靜”下來,使運動與靜息的界限更加清晰,從而顯著提升了動作檢測的準確性。
這一發現為康復機器人“讀懂”患者的運動意圖提供了新的生理學支持。以往中風患者在使用肌電控制系統時,常常因為痙攣帶來的自發放電而出現“誤觸發”,讓訓練過程既不自然,也不高效。而在BoNT-A干預后,系統能夠更準確地識別真正的隨意收縮,康復機器人也就能更順暢地與患者互動,訓練過程因此變得更安全、更可靠。更重要的是,這項研究為未來“藥物+技術”的康復新模式提供了范例。BoNT-A不僅是單純的抗痙攣手段,更可能成為智能康復的“助推器”,幫助肌電接口減少噪聲干擾,讓人工智能和機器人更精準地發揮作用。正如研究團隊所強調的,這不僅是一項關于藥物的研究,更是推動中風康復走向智能化、個性化的一次探索。
原文鏈接
Y. Zhang et al., “Insula-Medial Prefrontal Cortex Functional Connectivity Modulated by Transcutaneous Auricular Vagus Nerve Stimulation: An fMRI Study,” IEEE J. Biomed. Health Inform., vol. 28, no. 10, pp. 5962–5970, Oct. 2024.
https://ieeexplore.ieee.org/document/10776133
研究團隊介紹
本文作者包括Zeng Xuemei, Sun Weishuang, Lu Zhiyuan, Li Tieshan, 公維軍和周平;其中Zeng Xuemei、Lu Zhiyuan、周平教授來自康復大學(中國青島),Sun Weishuang來自濰坊山東第二醫科大學,Li Tieshan來自青島大學附屬醫院康復醫學科,公維軍教授來自北京首都醫科大學附屬北京康復醫院神經康復科。
關于維拓啟創
維拓啟創(北京)信息技術有限公司成立于2006年,是一家專注于腦科學、康復工程、人因工程、心理學、體育科學等領域的科研解決方案供應商。公司與國內外多所大學、研究機構、企業長期保持合作關系,致力于將優質的產品、先進的技術和服務帶給各個領域的科研工作者,為用戶提供有競爭力的方案和服務,協助用戶的科研工作,持續提升使用體驗。
相關產品
