Arrayjet生物芯片點樣儀制備蛋白芯片助力馬科動物哮喘的研究
瀏覽次數:969 發布日期:2025-2-20
來源:本站 僅供參考,謝絕轉載,否則責任自負
與人類相似,馬科動物也會因各種過敏源而罹患嚴重哮喘(Severe asthma ,簡稱SA),即非常流行的下呼吸道疾病。雖然已有部分研究表明,SA的誘發與過敏原特異性免疫球蛋白 E(IgE)的表達水平升高相關,并嘗試蛋白芯片進行診斷檢測,但由于疾病分類的統計方法不明確、測試的過敏原范圍有限,無法有效運用。
來自英國諾丁漢大學的一個研究團隊在《Journal of Veterinary Internal Medicine》雜志發表了文章《Microarray molecular mapping of horses with severe asthma》。該文作者選取了來自法國、美國和加拿大共35匹馬,利用微陣列芯片技術分析統計其血清樣本與各種過敏原之間的免疫反應,并基于最小二乘法(PLS-DA)構建一種基于免疫學原理和高通量芯片技術的馬匹哮喘檢測方案,對環境因素與馬匹罹患SA之間的關系進行深入分析。
實驗方法:
- 1.樣品準備:選取來自法國、美國和加拿大共35匹馬(SA 17例,對照組18例)。麻醉后以生理鹽水肺泡灌洗的方式收集肺泡灌洗液,采集靜脈血提取血清。
- 2.細胞計數:肺泡灌洗液制備細胞樣本,統計灌洗液中的細胞數目并染色分析。
- 3.蛋白芯片高通量分析:收集來自各種真菌、細菌、花粉、節肢動物和與馬環境相關的其他物質的提取物(n=153)和純蛋白(n=231),利用英國Arrayjet公司的Ultra Marathon II生物芯片點樣儀(對應新型號Mercury 1000-S),將這些提取物和純蛋白點印在包被硝酸纖維素膜的載玻片上,制備蛋白抗原生物芯片。將步驟1中收集的血清樣本與制備的生物芯片雜交,并用生物芯片掃描儀判讀雜交結果。
- 4.采用主成分分析和PLS-DA分析雜交結果。
實驗結果:
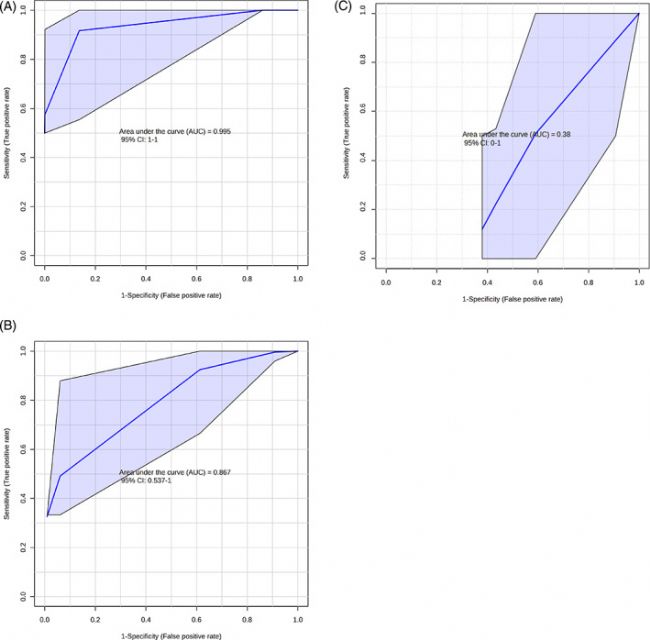
基于PLS-DA 模型,針對不同來源的馬匹,首先篩選出了一批與哮喘相關的過敏原,并根據顯著性水平進行評分和排名。其次,結合肺泡灌洗液的細胞培養結果,進一步評價了PLS-DA的預測準確性,并用ROC曲線定量。如果ROC曲線下的面積(AUC)等于1,說明判別結果與真實情況完全一致;如等于0,則說明判別結果完全錯誤;AUC越接近1,說明PLS-DA模型的判斷準確率越高。實際結果顯示,對于來源于加拿大和法國的馬匹,免疫蛋白芯片的預測結果與真實結果一致性很高(AUC分別為0.995與0.867),但對于美國的馬匹,AUC僅為0.38,說明結果的準確性不足(可能過敏原范圍有限)。(圖1)
圖1: 基于最小二乘法的ROC曲線,藍色區域為95%置信區間。(A)加拿大;(B)法國;以及(C)美國。
基于上述結果,結合細胞計數和染色的實驗數據,作者得出結論,馬匹是否患有SA,環境因素有很大影響。這表現在不同地區的IgE致敏曲線有顯著差異,而且不同地區導致SA的過敏原也鮮有交叉,能識別到的共同過敏原只有Hev b 5.0101、Cyn D、Der p 2 和 Rum cr 。是否患有SA,在實際的判斷分析過程中,不能忽視馬匹來源、馬匹個體因素和環境因素的多重影響。同時,蛋白微陣列芯片作為一種新技術,在診斷馬的SA疾病中表現出了不錯的應用潛力。在今后可以結合其他方法并優化數學模型,以提高鑒定準確率。
更多內容請閱讀原文:https://pmc.ncbi.nlm.nih.gov/articles/PMC10800233/
Arrayjet位于英國愛丁堡,專注于提供生物芯片應用領域的解決方案及服務。自2000年公司成立即致力于開發新型生物樣品噴點方案–噴墨式液體處理平臺,該系統于2006年上市,目前用戶遍布全球27個國家。
Mercury系列產品采用獨特的飛行噴墨點樣技術實現行業第一的快速、非接觸式微量液體處理。同時上萬種不同樣品可以進行快速點樣,專利的上樣模塊配合高通量的點樣噴頭保障您的點樣操作快速、無污染,更低的上樣體積可有效減少樣品損失,使您的珍貴樣品物盡其用。
▼更多精彩內容,請掃碼關注我們▼
