申基生物作為國內領先的mRNA原料供應商,現已研發出核苷酸、修飾性核苷酸、化學法加帽類似物等GMP級mRNA疫苗/藥物核心原料,滿足mRNA疫苗/藥物的商業化需求!
帽子結構對mRNA來說至關重要,它不僅可與真核生物翻譯起始因子(eIF4E)結合來啟動翻譯,而且還能保護mRNA不被核酸外切酶降解,同時可促使mRNA環化形成空間結構,增強穩定性。上海惠誠生物作為申基生物代理商,
申基帽類似物產品推薦:
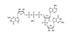
EasyCаp™ GAG m7G(5')ppp(5')(2'OMeA)pG 100mM Ammonium solution, GMP grade 貨號:CAP3011

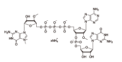
EasyCap™ GAG (3'OMe) m7(3'OMeG)(5')ppp(5')(2'OMeA)pG 100mM Ammonium solution, GMP grade 貨號:CAP3111

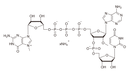
EasyCap™ GAU m7G(5')ppp(5’)(2'OMeA)pU 100mM Ammonium solution, GMP grade 貨號:CAP30112

CAP 5 m7G(5')vppp(5')(2'OMeA)pG 100mM Ammonium solution, GMP grade 貨號:GMP-CAP5011

申基帽類似物產品優勢:
高純度HPLC驗證純度,高于99%
高加帽率一步完成共轉錄加帽流程,加帽效率多98%
高質量GMP級原料生產
高產能公斤級量產,可大量供應帽類似物
mRNA帽子類似物是一類模擬天然mRNA 5'端帽子結構的化合物,在分子生物學研究和RNA療法開發中具有重要應用。
1. 結構特征:
- 通常包含一個7-甲基鳥苷(m7G)或其類似物
- 與mRNA的5'端通過5'-5'三磷酸橋連接
- 可能包含額外的甲基化或其他修飾
2. 主要類型:
- Cap 0 類似物:僅含m7G
- Cap 1 類似物:含m7G和2'-O-甲基化的第一個核糖核苷酸
- Cap 2 類似物:含m7G和前兩個核糖核苷酸的2'-O-甲基化
- 非天然類似物:包含各種化學修飾以增強穩定性或功能
3. 功能:
- 增強mRNA的穩定性,防止5'→3'外切核酸酶降解
- 促進翻譯起始
- 調節核質轉運
- 在某些情況下,可能影響免疫反應
4. 應用:
a. 研究工具:
- 研究mRNA代謝和翻譯機制
- 分析帽子結合蛋白的功能
b. 體外轉錄:
- 用于合成具有高翻譯效率的mRNA
c. RNA療法:
- 用于設計更穩定、翻譯效率更高的治療性mRNA
d. 疫苗開發:
- 在mRNA疫苗中用于提高mRNA穩定性和翻譯效率
上海惠誠生物科技有限公司自2010年成立以來,一直致力于為客戶提供試劑,儀器設備和耗材一站式服務,按照客戶的研發、生產和質量控制環節整合各種資源,優化資源組合,為客戶提供整體解決方案。