越來越多的研究表明,基于多重免疫熒光(mIF)技術的空間表型特征正在用以開發新一代生物標志物,它使用多重抗體面板在完整組織樣本中通過所處環境中的功能和狀態來描述腫瘤和免疫細胞的特征。不同的細胞密度模式和相互作用構成的細胞間腫瘤微環境中(TME)已被證明可以對疾病結果和免疫治療反應高度預測。
在《空間表型特征:表征實體腫瘤和預測免疫治療反應的新型生物標志物》白皮書中介紹了基于mIF的空間表型特征作為新一代生物標志物發現的案例,意義和價值。
目前,只有少數經FDA批準的生物標志物鑒定的患者對PD-1/PD-L1檢查點抑制劑治療表現出陽性反應,而且,并不是所有測試結果呈陰性的人最后都表現很差。這種不確定性使得本可以受益的患者無法得到治療,增加了治療無效的癌癥護理成本,阻礙了下一代免疫療法的發展。
基于多重免疫熒光(mIF)的技術的空間表型特征,是新一代病理工作流程,可生成有關癌癥樣本的定量和可重復的見解,具有預測價值和臨床洞見方面的潛在價值,可能在不久的將來進入常規臨床實踐中的標準工具。
設定新的預測值標準
空間表型的核心是一種被稱為多重免疫熒光(mIF)的技術,這是新一代病理工作流程,可生成有關癌癥樣本的定量和可重復的見解。Lu等人發表在《JAMA Oncology》上的一項多種診斷技術的meta分析顯示,在預測誰將對PD-1/PD-L1免疫治療產生反應方面,mIF比目前廣泛使用的技術PD-L1 IHC、基于下一代測序的腫瘤突變負荷(TMB)和基因表達譜(GEP)具有更高的預測價值。

mIF:揭示PD-1/PD-L1阻斷反應的新見解
多項研究表明,使用基于mIF的平臺檢測PD-L1表達,可以獲得更量化、更準確的結果,提高預測能力。此外,mIF允許與其他標記物同時檢測PD-L1表達,從而產生比單獨使用每個標記物更高的預測值。
Vanhersecke等人在一項對11種不同腫瘤類型的泛癌研究中證明了這一點,其中PD-L1表達分析與三級淋巴結構(TLS)和CD8+淋巴細胞密度的測量配對。使用結合CD4、CD8、CD20、CD21和CD23的mIF分析來識別TLS,并區分成熟(mTLS)和不成熟(iTLS)形式。這些發現強調了基于mIF的多重分析在預測價值和臨床洞見方面的潛在價值。

尋找更好的預測工具
到目前為止,FDA已經批準了7種針對PD-1/PD-L1通路的腫瘤免疫療法,其中三種包括對PD-L1表達進行mIHC染色的輔助診斷,兩種需要DNA或RNA測序來識別微衛星不穩定性、腫瘤突變負擔或錯配修復錯誤。

隨著抗PD-L1療法的數量增加,不同的檢測要求也在增加。如表中所示,使用PD-L1IHC染色有四種不同的評分算法,有些聚焦于TCs(腫瘤細胞),有些聚焦于ICs(免疫細胞),所有這些都需要一些主觀的操作判斷。Rimm等人注意到,當試圖對ICs上的PD-L1表達進行評分時,病理學家觀察者之間的一致性特別差,特別是在低表達范圍。所有這些都表明需要新的腫瘤組織分析方法,以減少實驗室間和觀察者之間的可變因素,并提高每個樣本的預測價值。
臨床病理學實驗室中基于mIF方法的空間表型特征
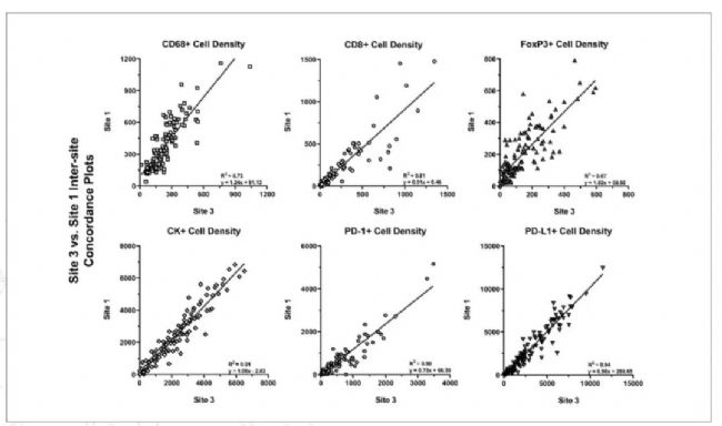
在堪稱里程碑的多機構TSA擴增多重免疫熒光重復性評估(MITRE)研究中,6家機構使用了mIF解決方案,以證明和驗證了一個基于腫瘤組織樣本中的PD-1/PD-L1免疫檢查點信號自動化的端到端工作流程。研究結果表明,在測量IC密度、共表達和接近參數方面,實驗室內和實驗室間的一致性很高。MITRE的結果代表著基于mIF方法的自動化空間生物學工作流程標準化的重要一步,該工作流程提供了支持臨床試驗所需要的性能水平,并可在未來應用于臨床試驗。

一個由來自來學術界、制藥和診斷制造商的病理學家和其他專家組成的癌癥免疫治療協會(SITC)工作組,正在評估mIF工具在常規臨床檢測中的使用情況。該工作組將mIF技術稱為“可能在不久的將來進入常規臨床實踐中的標準工具”。他們目前正在建立最佳方案,“以幫助確保實驗室間輸出結果的穩定性和可比性”。
基于mIF的空間表型特征正在開發新一代的生物標志物。像MITRE這樣開創性的研究使用了標準的Phenoptics解決方案。Phenoptics解決方案集成了染色、成像和分析,使用現有的工作流程和技能來定量捕獲細胞組織的細節,并整合到整個樣本中,以獲得豐富的洞見,了解疾病的機制和脆弱性。通過鏈接下載完整《空間表型特征:表征實體腫瘤和預測免疫治療反應的新型生物標志物》白皮書。
掃碼下載完整白皮書

[參考信息]
1. Duffy MJ, Crown J. Biomarkers for predicting response to immunotherapy with immune checkpoint inhibitors in cancer patients. ClinicalChemistry. 2019;65(10):1230.
2. Vanhersecke L, etal. Mature tertiary lymphoid structures predict immune checkpo intinhibitor efficacy in solid tumors independently of PD-L1 expression. Nature Cancer.2021;2:794-802.
3. Taube JM, Roman K, Engle EL, et al. Multi-institutional TSA-amplified Multiplexed Immunofluorescence Reproducibility valuation (MITRE) Study. J Immunother Cancer. 2021;9(7):e002197.
4. Taube JM, et al. The Society for Immunotherapy of Cancer statement on best practices for multiplex immunohistochemistry (IHC) and immunofluorescence (IF) staining and validation. J Immunother Cancer. 2020;8(1):e000155.