臺式 qNMR在測定制劑片劑中Tadalafil的應用
瀏覽次數:1632 發布日期:2022-1-18
來源:本站 僅供參考,謝絕轉載,否則責任自負
通過臺式 qNMR 測定制劑片劑中的Tadalafil
介紹
核磁共振 (NMR) 是一種極其強大的表征技術,常用于藥物研究以鑒定新化合物、評估純度以及表征和優化化學反應,無論是在線(使用流通池)、離線還是在線(用于核磁共振管反應或等分分析)。雖然不太常見,但它也已被確立為制藥行業常規定量分析的有用技術。1,2,3,4 臺式 NMR 已成為一種易于使用的技術,可將 NMR 光譜的使用擴展到初創企業和中小企業制藥公司,并提供易于使用、緊湊且可自動化的替代方案,允許 qNMR 直接納入質量控制實驗室并供技術人員使用。
在這方面,我們描述了使用臺式 NMR 對活性藥物成分進行結構確認;降解產物和/或雜質的評估,以評估該技術在測定和含量均勻性測試中的功效和性能。
NMR 與常用方法相比具有許多優勢,例如滴定、紅外 (IR) 光譜、拉曼光譜和色譜法。它具有化學特異性、非靶向性、非破壞性、無需校準的固有定性,并且需要非常簡單的樣品制備。它不需要準備稀釋系列,不消耗大量溶劑,也不需要真正的標準物質5進行分析。
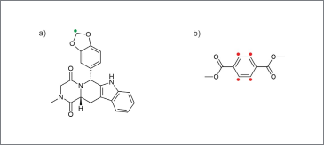
在本應用說明中,我們使用 1H NMR 評估作為參考標準購買的他達拉非的純度(圖 1a),并使用兩種市售的含有Tadalafil的成分進行分析測試。這些藥物以商品名 Cialis 和通用名 Apo-Tadalafil 出售。這些藥物用于治療良性前列腺增生6、勃起功能障礙7和肺動脈高壓8。
在此定量 NMR 分析中,對苯二甲酸二甲酯(圖 1b)用作內部校準物。選擇它是因為它的 1H 共振中至少有一個與目標化合物的共振不重疊,并且它的 T1 值比其他可能的 qNMR 內標短。此處提供的示例特定于制藥,但 qNMR 方法是通用的,可以在純度測定對流程至關重要的任何領域的常規分析中進行驗證

圖 1:a) Tadalafil的結構,b) 對苯二甲酸二甲酯 (DMT) 的結構。 綠色和紅色圓圈代表本研究中評估的質子。
實驗程序:Tadalafil參比標準品純度測定
將參考標準化合物(Tadalafil,11.78 mg)Lot#:LRAB8867 和經認證的內部校準物(對苯二甲酸二甲酯 (DMT),2.73 mg)Lot#:BCBT9974 準確稱量到小瓶中,并加入 600 μL DMSO-d6.使用渦旋混合器混合溶液直至樣品和內標完全溶解。將得到的澄清溶液轉移到 5 mm NMR 管中,并在確定 T1 值后獲得 1H NMR 譜。8.08 ppm DMT 信號的 T1 值為 2.82 s,Tadalafil 5 .92 ppm 信號的 T1 值為 0.53 s。所有化合物均購自 Sigma-Aldrich,無需進一步純化即可使用。
光譜是在 32 °C 下使用 Nanalysis 60PRO 臺式 NMR 光譜儀在 60 MHz 質子頻率(1.418 特斯拉)下獲得的。使用以下采集參數進行實驗:復數點數,8192;光譜寬度,24 ppm;掃描次數,32;掃描延遲,20 s;光譜中心,8.03 ppm;采集時間,5.57 秒; 90° 脈沖持續時間,15.1 μs。每個光譜都應用零填充處理,零填充點數等于65536,進行相位和基線校正,洛倫茲到高斯窗口乘法應用于FID(指數線加寬 (lb) 和高斯線加寬 (gb)分別設置為 -0.1 和 0.3 Hz)。9 光譜采集一式五份進行。
結果與討論:Tadalafil 參考標準化合物純度測定
使用以下等式 (1) 計算分析物 Px 的純度:

式中 Ax 為Tadalafil在 5.92 ppm 處的信號積分值; ADMT是屬于DMT的8.08ppm處信號的積分值; NDMT 和 Nx 分別對應于 DMT 和Tadalafil的自旋數; Mx 和 DMT 分別是Tadalafil和 DMT 的分子量; mx 是Tadalafil的加權質量; mDMT 和 PDMT 分別是 DMT10 的加權質量和報告的純度。
表 1:使用對苯二甲酸二甲酯 (DMT) 作為內部校準物測定Tadalafil (X) 參考化合物的純度。

#商業供應商報告的價值10
應用于圖2中每個信號的預設積分區域為:DMT 為 8.2791 至 7.9320 ppm,化合物 X 為 6.0283 至 5.7700 ppm。用表 1 中報告的值替換方程 1 的變量值,Px 純度值為 達到 99.7 ± 0.4。 計算值與供應商公司報告的值范圍一致11 (99.7 ± 0.1)。
圖 2. Tadalafil和 DMT 在 DMSO-d6 中的混合物的 1H NMR 譜,使用Nanalysis 臺式 60PRO 采集。 綠色和紅色圓圈分別代表Tadalafil和 DMT 評估下的質子。
實驗程序:Cialis 和 Apo- Tadalafil 試驗
通過稱重和粉碎每種藥物的五片來進行測定測試。 藥盒上標明每片含有 20 毫克Tadalafil。 每個充分混合的粉末(西力士 210.91 毫克和 Apo-Tadalafil 239.07 毫克)和校準物化合物 DMT(西力士 2.25 毫克和 Apo-Tadalafil 3.6 毫克)的一部分,代表大約 20 毫克活性化合物 , 在分析天平 (Mettler-Toledo MS105DU) 上稱重,然后加入DMSO-d6 (950 µL)。 將裝有混合物的兩個小瓶渦旋 5 分鐘,然后再超聲 20 分鐘。 離心后,將上清液過濾并加入 5 mm 標準 NMR 管中。每個 1H NMR 光譜中使用的采集和處理參數與純度測定程序中所述的相同。
結果和討論:Cialis 和 Apo- Tadalafil 試驗
為了確定每片中Tadalafil的平均質量,使用公式 2:
其中 mpowder 是用于化驗測試的片劑粉末樣品的加權質量,T 是平均片劑重量。 任何其他參數的含義與公式 1 中所述相同
表 2:使用對苯二甲酸二甲酯 (DMT) 作為校準化合物測定希愛力片劑中他達拉非的平均質量。
#Value reported by the commercial supplier10
表 3:使用對苯二甲酸二甲酯 (DMT) 作為校準化合物測定 Apo-Tadalafil片中Tadalafil的平均質量。
#商業供應商報告的價值10
通過對 DMT 信號應用 8.1964 到 7.9930 ppm 和Tadalafil信號從5.9943 到 5.8340 ppm 的預設積分區域來確定所選信號的相對面積(圖 2)。 將表 2 和 3 中報告的值替換為公式 2 中的相應變量,獲得了西力士每片 19.8 ± 0.3 毫克和每片 Apo-Tadalafil片20.3 ± 0.2 毫克的平均質量。 這兩個值都在 USP 專論接受的他達拉非的范圍內,報告為 20 ± 2 mg,以及高場數據,Cialis 和Apo-Tadalafil分別確定為 20.0 mg 和 20.9 mg。
圖 3. Tadalafil參考標準在 DMSO-d6 中的 1H NMR 譜(黑色); 用 DMT 在 DMSO-d6 中提取 Cialis 片劑的 1H NMR 譜圖(藍色); 用 DMT 在DMSO-d6 中提取po-Tadalafil片劑的 1H NMR 譜(紅色)。 所有光譜均在 Nanalysis 60PRO 中采集。
除了在化驗測試中獲得的定量信息外,在使用NMR分析時,還可以觀察到賦形劑的指紋并用于質量控制(圖 3)。對于所研究的案例,供應商報告了以下賦形劑:交聯羧甲基纖維素鈉、羥丙基纖維素、羥丙基甲基纖維素、氧化鐵、一水乳糖、硬脂酸鎂、微晶纖維素、月桂基硫酸鈉、滑石、二氧化鈦和用于 Cialis 的三乙酸甘油酯和交聯羧甲基纖維素鈉、羥丙基纖維素 、乳糖一水合物、硬脂酸鎂、微晶纖維素、十二烷基硫酸鈉、二氧化鈦、氧化鐵紅、氧化鐵黃、羥丙甲纖維素、泊洛沙姆和用于 Apo-Tadalafil的聚乙二醇。
結論
臺式核磁共振成功地用于評估Tadalafil的純度,并對兩種含有他達拉非作為活性成分的不同片劑進行分析測試。與其他方法一樣,在數據采集和評估之前需要一個樣品制備步驟。但是,使用 NMR,可以在幾分鐘內獲取數據。此外,數據評估很簡單,因為 NMR 中的峰面積與分子中存在的質子數成正比。具有已知濃度和結構的內部校準物具有在可用于目標分析物定量的區域中提供一種或多種信號的作用。
這項研究表明,臺式 NMR 在質量控制分析中的作用有多大,以及它如何在藥物評估的許多步驟中用作補充方法。一旦該方法被開發和驗證,就可以快速獲得結果,廢溶劑量少,不需要專家運行樣品或評估數據,更不用說獲得的大量信息。
參考文獻:
[1] Jaki, B. U.; Bzhelyansky, A.; Pauli, G. F. Magn. Reson. Chem. 2020; 1–9. https://doi. org/10.1002/mrc.5099.
[2] Hanna, G. M. J. Assoc. Off. Anal. Chem. 1984, 67, 222.
[3] Hanna, G. M.; Lau-Cam, C. A. Drug Dev. Ind. Pharm. 1988, 14, 43.
[4] Hanna, G. M.; Lau-Cam, C. A. J. Assoc. Off. Anal. Chem. 1988, 71, 1118.
[5] Yang, Q.; Qiu, H.; Guo, W.; Wang, D.; Zhou, X.; Xue, D.; Zhang, J.; Wu, S.; Wang, Y. Molecules 2015, 20, 12114.
[6] Hatzimouratidis, K. Ther. Adv. Urol. 2014, 6, 135.
[7] Coward, R. M.; Carson, C. C. Ther. Clin. Risk Manag. 2008, 4, 1315.
[8] Henrie, A. M.; Nawarskas, J. J.; Anderson, J. R. Core Evid. 2015,10, 99.
[9] Monakhova, Y. B.; Diehl, B. W. K. Magn. Res. Chem. 2017, 55, 996.