小趣在前面的推文中給大家介紹過VIP scores圖通過Metaboanalyst(MA)網站來實現的方法,那MA網站是一個什么樣的網站呢?今天小趣就來為您介紹~
Metaboanalyst是一個基于網絡、功能全面的工具,用于處理、分析和解釋代謝組學數據。它不僅可以做統計分析,還能進行功能注釋分析,比如Enrichment Analysis、Pathway Analysis。小趣今天主要帶大家來學習一下用Metaboanalyst網站實現統計分析,下面一起來看看吧~
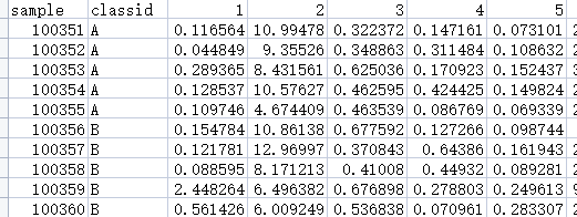
01 數據準備第一列sample為樣本名,第二列classid為樣本分組,從第3列開始為每一個代謝物在單個樣本上的含量。

1.首先在瀏覽器中輸入網址https://www.metaboanalyst.ca/,點擊首頁Statistical Analysis[one factor],進入下一頁面,會有很多數據輸入格式選擇,這里我們選擇的輸入格式為.csv,點擊Choose選擇輸入的文件,然后點擊Submit進入下一個頁面。


2. Edit Groups是修改分組,這里我們不需要修改,直接點擊Proceed進入下一個頁面。
3. 這個頁面是對數據進行處理,Sample normalization是否對數據進行歸一化處理;Data transformation 是否對數據進行某種轉換;Data scaling 是否對數據進行某種scaling方式處理。選擇完成后點擊normalize,然后點擊Proceed進入下一個頁面。

4. 這個頁面有很多分析可以進行選擇,可根據自己的需求點擊,比如我們現在需要做一個PCA,則可以點擊Principal Component Analysis (PCA),進入下一個頁面。

5. 在該頁面可以根據圖形頁面的小畫筆對圖形進行修改。這樣我們一張PCA圖就做好啦。最后所有做過的分析都可以直接通過左下角的Download直接打包下載。

最后在這里展示幾張通過該網站做出來的幾個分析圖吧。