Mabtech攜手Karolinska團隊以多重檢測方案賦能結核病精準防控
瀏覽次數:138 發布日期:2025-12-1
來源:本站 僅供參考,謝絕轉載,否則責任自負
結核病(TB)作為全球重大健康挑戰,傳統診斷工具始終面臨 “痛點”—— 干擾素釋放試驗(IGRAs)僅靠單一細胞因子(IFNγ)檢測,既難區分潛伏感染(TBI)與活動性疾病(TBD),又易漏診近期感染等高風險人群。
近期《Journal of Clinical Microbiology》發表的一項重磅研究,為 TB 診斷帶來了破局新思路 —— 瑞典卡羅林斯卡醫學院(Karolinska Institutet,因每年負責評選并頒發諾貝爾生理學或醫學獎而聞名全球的醫學院)團隊與 Mabtech 深度合作,依托 Mabtech EYRA 儀器(EYRA共聚焦多因子檢測系統)與Mabtech全新一代ELISpot& FluoroSpot讀板儀,開發出多重 FluoroSpot 檢測方案,一舉實現了 TB 診斷的精準化和 階段化突破,讓看不見的免疫反應,變成了能指導臨床的清晰信號。
一次檢測,搞定 “三重信號”:從 “單一判斷” 到 “多維分析”
傳統 TB 免疫診斷的核心局限,在于 “只看一個指標”——IGRA 僅檢測 IFNγ,無法捕捉免疫反應的完整圖景。而文中這套方案的關鍵,使用FluoroSpot 檢測方案進行多重檢測:Mabtech IRIS2 讀板儀憑借專屬 RAWspot 算法,能精準識別 PBMC 細胞分泌的 IFNγ、IL-2、TNF-α 三種細胞因子,不僅計數斑點形成單位(SFU)(圖1和4),還能通過相對斑點體積(RSV)實現半定量分析(圖2) —— 簡單說,它不僅知道 “有多少細胞在反應”,還能判斷 “每個細胞分泌了多少細胞因子”。

圖1:IFNγ-ELISpot和FluoroSpot檢測結果顯示,使用ESAT-6、CFP-10和EspC刺激后,斑點形成單位(SfU)的檢測結果高度一致。

圖2:細胞因子的生成量與細胞因子組合、結核分枝桿菌感染狀態以及結核分枝桿菌暴露時間相關
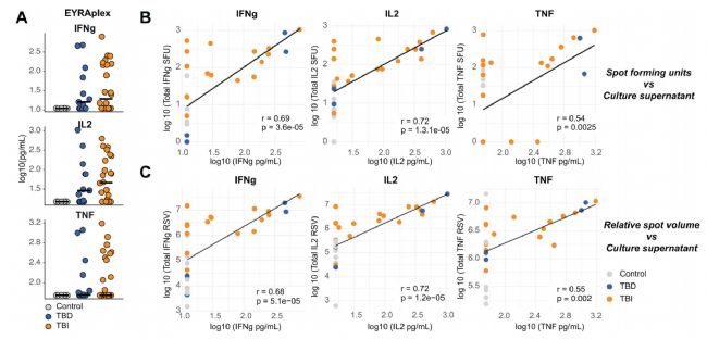
后續研究團隊通過使用Mabtech多因子EYRAplex檢測方案配合 EYRA 儀器同步分析上清液中的細胞因子水平(圖3),形成 “細胞功能 + 分泌量” 的雙重驗證。

圖3:結核分枝桿菌肽刺激后,斑點數量和RSV與培養上清液中的細胞因子濃度相關
研究數據最有說服力:檢測 “三重陽性細胞(IFNγ/IL-2/TNF-α)” 時,這套組合的特異性直接拉滿 ——26 例 IGRA 陰性對照者中無 1 例假陽性,受試者工作特征曲線下面積(AUROC)高達 0.93,遠超單一 IFNγ 檢測的 0.90(圖4);即便與經典 ELISpot 對比,其 IFNγ 檢測結果的相關性也達到 0.87(P<0.001)(圖1),既保證了精準度,又兼容了臨床習慣。

圖4:基于IFNγ/IL-2/TNF-α的“三重陽性細胞” 與 “總 IFNγ” 的SFUs檢測的診斷性能評估。
不僅能診斷,還能 “分期”:幫醫生鎖定 “高風險者”
對 TB 防控而言,“區分感染階段” 比 “單純確診” 更重要 —— 近期感染者進展為活動性疾病的風險,遠高于遠期感染者。而研究團隊這套方案,恰好能捕捉這種 “階段差異”:研究發現,近期感染(暴露 <6 個月)者的 IL-2/TNF-α 細胞占比更高,IFNγ 反應較弱;而活動性疾病患者則以 IFNγ/TNF-α 細胞為主;遠期感染者(>24 個月)的三重陽性細胞比例會逐漸升高。這種清晰的 “細胞因子圖譜”,讓醫生能一眼識別 “誰是近期感染者”“誰已發展為疾病”,精準分配預防性治療資源,避免 “一刀切”。

圖5:通過細胞因子分泌模式,區分 TB 感染階段與其他病原體反應
對免疫抑制人群(如 HIV 感染者、接受激素治療者)而言,這套方案的價值更突出 —— 傳統 IGRA 常因 T 細胞數量不足漏診,而 FluoroSpot的多重檢測能捕捉到 “非 IFNγ 信號”(如 IL-2/TNF-α),哪怕 IFNγ 未達閾值,也能提示感染,大大降低漏診風險。
如今,全球都在向 “2035 終結 TB” 的目標沖刺,而精準診斷正是這場戰役的 “前哨”。Mabtech EYRA 儀器與讀板儀,用 “多重檢測” 打破了傳統診斷的局限,讓我們能更清晰地看清 TB 的 “免疫密碼”—— 對醫生,它是精準判斷的 “利器”;對患者,它是避免過度治療或漏診的 “保障”;對全球 TB 防控,它則是推動 “早發現、早干預” 的關鍵力量。
產品介紹
1. EYRA共聚焦多因子分析儀
產品亮點:
產品詳細信息:http://www.053xs.cc/show1equip.asp?equipid=5337970
2. Mabtech ELISpot&FluoroSpot&FociSpot讀板儀
產品亮點:
產品詳細信息:http://www.053xs.cc/show1equip.asp?equipid=3490216