
在一個最簡化的情況,光學顯微鏡由一個靠近標本的透鏡(物鏡)和一個靠近眼睛的透鏡(目鏡)組成。顯微鏡放大率是兩個顯微鏡透鏡系數的乘積。比如,40倍物鏡和10倍目鏡可以得到400倍放大率。
1、通過光波確定限值
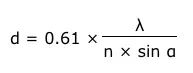
但是,表現光學顯微鏡性能的不僅僅有放大率,還有分辨率。分辨率指對兩個緊密相鄰的點分辨的能力。根據瑞利(Rayleigh)定律,能夠分別成像的兩個點之間的最小距離大約相當于光波長的一半。

λ=光波長
n=標本和物鏡之間的介質的折光率
α=物鏡孔徑角的一半
因此,對于藍光,分辨率限值約為d=0.2μm;對于紅光,d=0.35μm左右。UV物鏡的分辨率略低于0.2μm。肉眼無法區分小于0.2mm的結構。
n×sin α的數值對應于數值孔徑(NA),即表示聚光能力和物鏡分辨率的量度。由于孔徑角不能超過90°,折光率永遠大于等于1(nair=1),所以大氣中的NA始終在1左右。如果采用油浸的方式(n>1),數值孔徑將增加(達到約1.45),分辨率也將隨之升高。

圖1:可見光光譜
因此,對于藍光,分辨率限值約為d=0.2μm;對于紅光,d=0.35μm。UV物鏡的分辨率略低于0.2μm。肉眼無法區分小于0.2mm的結構。

圖2:物鏡的數值孔徑決定了圖像的具體分辨率和亮度
2、放大率并非越大越好
為了使人眼能夠觀察到顯微分辨率,目鏡中出現的圖像應具有相應的放大率。分辨率和放大率始終直接相關。放大率低的物鏡具有低數值孔徑,因此分辨率低。
高倍物鏡的數值孔徑也很高,如果是40倍干式物鏡,則數值孔徑通常為0.8。但由于數值孔徑增加到某個特定點后無法繼續增加,所以在傳統的光學顯微鏡中,可用的放大范圍也是有限的。“有用”的顯微鏡放大率在500×NA和1000×NA之間。
一些光學顯微鏡聲稱具有極大的放大率,但實際上最高還不到1400倍。專家將超出該范圍的一切倍率都稱作“無效放大率”。雖然看似放大了結構,但并沒有進一步分辨細節部分。

圖3:含10%鈷的硬質合金(亞微米結構,初始晶粒度為0.6µm),用于生產重型工具。左:通過干式物鏡觀察,NA=0.90,右圖:通過油浸物鏡觀察,NA=1.30(由Konrad Friedrichs GmbH & Co KG, Kulmbach, Germany提供)
推薦閱讀
了解更多:徠卡顯微