活細胞成像儀應用于胚胎發育監測的研究
瀏覽次數:1064 發布日期:2024-8-7
來源:本站 僅供參考,謝絕轉載,否則責任自負
背景
近年來,輔助生殖技術(ART)得到了廣泛應用,為許多不孕不育夫婦提供了幫助。然而,在日本、歐洲和美國,體外受精(IVF)的臨床妊娠率仍然很低,分別約為 10.2%、21.8% 和 40.8%。可能的原因包括母體老化導致卵母細胞質量下降,或其他因素導致胚胎植入失敗。因此,獲取優質卵母細胞以提高出生率是臨床上的一個重要問題。
本文研究的目的是利用
活細胞成像技術分析卵巢刺激對小鼠胚胎質量的影響。為了評估胚胎質量,除了體外受精(IVF)和胚胎發育的成功率外,還利用
活細胞成像技術計算了染色體分離異常(ACS)的發生率和胚胎發育速度。研究利用
活細胞成像技術,可以對活體植入前胚胎進行長期觀察,并可視化其發育狀態和染色體動力學。
圖1.本研究的實驗設計
結果:

表1.卵巢刺激對受精的影響
圖2.卵巢刺激對受精、發育和染色體分離的影響

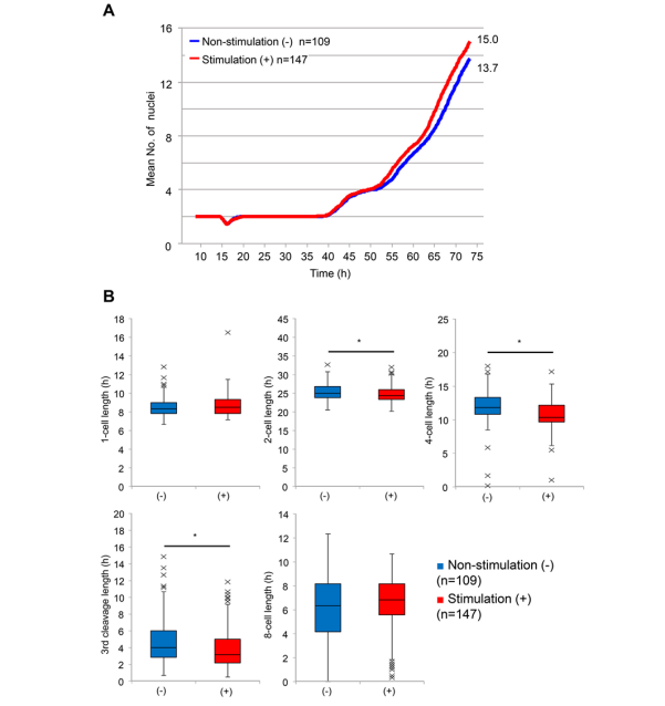
圖3.卵巢刺激對胚胎發育速度的影響

圖4.用置信橢圓表示刺激(+)和(-)組的2細胞、4細胞和第三個分裂階段長度之間的關系
結論:
刺激(+)組獲得的受精卵細胞數量是非刺激(-)組的 1.4 倍。各組的發育速度和染色體穩定性沒有差異。圖像分析表明,刺激(+)組的平均發育速度略高于非刺激(-)組。這種速度的提高似乎是由于 2 細胞期和 4 細胞期以及第三次分裂的長度略有縮短,從而使每個胚胎的分裂時間同步,而不是由于出現了一個發育極快的胚胎亞群。
總之,卵巢刺激并不一定會影響胚胎質量,反而會增加小鼠獲得優質卵母細胞的機會。
活細胞成像技術是研究胚胎發育的重要手段,這種技術的特點是細胞毒性低,有助于最大限度地減少觀察過程中對胚胎的損傷,并以接近自然的狀態觀察胚胎發育。除了隨時間變化的觀察之外,活細胞成像還有其他好處,即細胞內事件的更高分辨率和三維成像。使用全自動活細胞成像設備,如Celloger
® Pro,可以方便地監測卵母細胞成熟及胚胎發育。