利用AtomTrace LIBS技術做樣品高分辨率元素顯微成像
瀏覽次數:5707 發布日期:2018-2-11
來源:易科泰
激光誘導擊穿光譜(LIBS)技術是一種全新的物質元素分析技術。它具有樣品無須前處理(研磨、萃取、消解等);分析時間極短(1-2s)即可同時得到全部元素的分析結果;③準無損傷(幾納克)檢測,樣品消耗量極低;④樣品不受固體、液體、氣體形態限制;⑤不受元素濃度限制;⑥實現元素的原位微區分分布成像下。
CEITEC(歐洲工程技術中心| 布爾諾科技大學)利用LIBS研究了牙齒元素分布,即Ca、Mg、P等元素的分布,樣品固定在環氧樹脂中,在感興趣的平面上切割(圖1)做LIBS分析。在樣品表面,分析了面積為22×10 mm,分辨率為100微米。通過點陣式掃描220×100個點得到22 000個測量數據。繪制成牙齒橫切面的元素分布圖(圖2),通過牙齒截面的元素含量分布分析了動物對微量元素的吸收和及微量元素的積累,反應動物牙齒的生長過程中元素的遷移積累及牙齒結構與元素分布的關系,對元素與生理健康的研究提供了一個新的完美工具。

圖1牙齒截面圖像


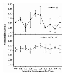
圖2牙齒中Ca顯微成像貝類生物作為無脊椎軟體動物的代表在寒武紀早期即已出現, 具有儲量多、分布廣、 不易遷移等特點,且地域特征明顯,被視為監測生態系統的理想“生物標識器”廣泛用于海洋研究。在貝類生長過程中,貝殼會形成類似“樹輪”一樣疏密不一的生長線,記錄周邊環境變化及食物結構的變,具體到季度、月的生長周期,其生長線(層)的厚度僅為微米量級,相應的成分元素含量也呈現出微米量級的空間分布。
目前用于貝殼成分元素的高空間分辨率分析技術主要有質譜(如ICP-MS)和電子探針分析(EPMA)技術, 但兩種技術均需要樣品預處理,且設備體積龐大、造價昂貴、單次分析成本較高、費時費力,無法滿足批量樣本統計分析的需求。激光誘導擊穿光譜技術(LIBS)是一種新型的定量及半定量分析技術,可實現目標物一維、二維、三維的掃描分析,最小分辨力可達數微米(ns激光)。因此將LIBS技術應用于扇貝貝殼分析,可實現貝殼元素成分的微米尺度的微損分析,甚至能夠在扇貝存活條件下完成快速分析。對于氣候變化、海洋湖泊環境變化、古生物、古環境具有研究提供了更加完美的實驗工具。


圖1 LIBS高分率微區分微區分析示意圖圖2 Sr與Se/Ca元素含量分布比較
a、貝殼實物圖;b、貝殼x射線掃描圖;c、貝殼分析區域高度變化;d、貝殼分析區域細節AtomTrace的LIBS元素分析系統,采用巧妙的模塊化設計,憑借20年LIBS研究經驗和生命科學領域、分析化學領域、新材料領域的合作經驗。其中Sci-Trace LIBS做為實驗室分析儀器具有LIBS最為領先的真空反應室及雙脈沖激光器和工作流程化控制分析軟件,并配有先進的全光譜Echelle光譜儀及iCCD,可將元素檢測限降到最低(0.1ppm,雙脈沖更低),較同類設備具有更低的檢測限和更高的檢測精度。X-Trace LIBS遙測分析系統具有Stand-off LIBS 與Remote LIBS專利技術,原位非接觸測量分析,遙測距離可達20m。方便的移動操作平臺對于不能到達接觸的樣品、危險環境的樣品具有無可替代的分析價值。

