
高水分擠壓技術(HMEP)被認為是模仿動物肉纖維結構、生產植物基肉制品最具潛力加工技術之一。研究表明,熱處理是確保在HME過程中發生必要物理化學變化的關鍵因素,影響產品的流變特性和流動模式。近紅外光譜(NIR)技術被提出用于快速評估HME加工的熱加工強度,通過創建校準模型量化不同加工參數(如溫度、時間、螺桿速度等)對擠出產品的影響,為優化產品質量提供新的方法和見解。
在HME過程中,熱處理對于植物基材料的蛋白質變性和聚集至關重要,而NIR光譜則能有效測量加工強度,利用偏最小二乘回歸分析建立了校準模型。這種方法不僅能夠評估加工參數對產品質量的綜合影響,還揭示了加工強度與產品紋理化之間的關系,為制定在線加工優化策略提供了理論支持。
Graphical abstract
ALPHA® 8 IP 大豆濃縮蛋白(SPC,干物質含量 93.9 wt%,蛋白質含量 62.0 wt%)購自 Solae, LCC(美國密蘇里州)。將 39 wt% 的 SPC 與去離子水混合,室溫水合 30 分鐘后置于內部開發的高溫剪切池(HTSC)中,由 Haake PolyLab QC 系統驅動進行熱機械處理。加工前用油浴預熱至目標溫度,加工后冷卻至 50°C,并儲存于 –20°C。
兩組 HTSC 產品分別在90至160°C,轉速30 rpm,加工15分鐘,以及恒溫140°C、轉速30rpm、加工時間2.5至15分鐘(步長2.5 分鐘)條件下生產,用于建立偏最小二乘回歸模型并評估加工時間影響。
NIR 光譜測量由ASD LabSpec 地物光譜儀(Malvern Panalytical,英國)進行。測量使用面積掃描探頭,探頭放在三腳架上,盡可能靠近樣品上方,但不要接觸 HTSC 產品或擠出物。測量前,HTSC 產品或擠出物完全解凍,測量在室溫下進行。HTSC 產品的 NIR 光譜是在 HTSC 產品半徑的中間測量的。擠出物的 NIR 光譜是在一個擠壓樣品的三個不同位置采集的。探頭有一個內置的 6.5 W 鹵素光源用于照明,光纖用于捕捉反射光。
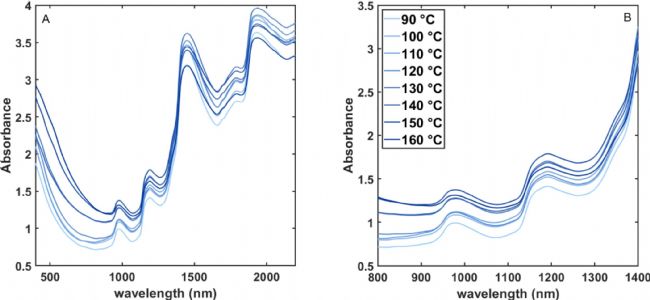
采用高溫剪切池 (HTSC) 處理來研究熱機械結構化過程中處理溫度對所得產品近紅外 (NIR) 光譜的影響。圖 1 顯示了在 90-160 °C 溫度下處理的 HTSC 產品在 400–2200 nm 和 800–1400 nm 波長范圍內的平均吸光度光譜。
圖 1. 在 90-160°C 的溫度下處理的 HTSC 產品在整個(400-2200 nm)(A)光譜范圍內和縮小(800-1400 nm)(B)光譜范圍內的吸收光譜,如在恒定轉速(30 rpm)和處理時間(15 分鐘)下從淺藍色到深藍色的顏色所示。
在可見光范圍(400-750 nm),吸光度隨加工溫度升高而增加,尤其在 150°C 和 160°C 時,顏色加深可能與美拉德反應或糖焦糖化有關(圖 2A,圖 2B)。在近紅外光譜(NIR)中,主要吸收峰位于 980、1200、1450 和 1930 nm,分別對應水、碳水化合物和蛋白質中的功能基團(圖 2A)。
高溫剪切池(HTSC)加工時,溫度升高至 130°C,1450 和 1930 nm 的吸光度增加,表明蛋白質聚集;但進一步升溫至 160°C,吸光度下降,可能由于肽鍵斷裂或蛋白質氧化(Ju 等,2023;Bordignon 等,2023)。為減少顏色和水分對模型的影響,分析波長縮減至 800-1400 nm,增強了加工溫度對吸光度趨勢的清晰度(圖 2B)。
總之,HTSC 加工溫度影響蛋白質和碳水化合物特性,NIR 技術可有效捕捉其變化。
圖 2. 基于標準正態變量 (SNV) + 全光譜范圍 (400–2200 nm) (A) 和縮小光譜范圍 (800–1400 nm) (B) 的一階導數 NIR 吸光度的 HTSC 加工溫度 PLS 回歸校準模型。
圖 3. 基于縮小的(800-1400 nm)光譜范圍的 HTSC 加工溫度的回歸系數 PLS 回歸模型。最高峰用波長數標注。
圖 4. 在不同加工時間下生產的 HTSC 產品的 NIR 吸收光譜 (A) 和這些產品的預測加工溫度 (B)。虛線表示設定的加工溫度。藍點表示加工時間,是加工溫度 PLS 回歸模型校準集的一部分 (15 分鐘)。
圖 5. 用螺桿輪廓 A(實心符號)和 B(空心符號)在 100–160 °C(用符號顏色表示)和 200–1200 rpm(用符號形狀表示)下生產的擠出物的紋理化程度,在切割試驗中測量,并與熔體溫度(A)或等效剪切單元溫度(B)作圖。紅線是所有數據點的線性擬合趨勢線。紋理化程度為 1 時的水平黑色虛線表示具有各向同性性質的結構。垂直藍色虛線表示高于該溫度時所有擠出物的紋理化程度均高于 1。
本研究成功結合近紅外光譜與偏最小二乘回歸,創建了受控加工條件下高溫剪切池 (HTSC) 產品加工溫度的定量校正模型。隨后利用該模型計算等效剪切室溫度(Equivalent Shear Cell Temperature),以評估高水分擠壓 (HME) 過程中的熱加工強度。等效剪切室溫度綜合反映了剪切應力、局部溫度效應和停留時間對熱加工強度的影響。研究表明,擠出物的紋理化程度與等效剪切室溫度相關。通過系統化的方法,本研究深入探討了加工參數(如機筒溫度和螺桿轉速)在 HME 期間對熱加工強度的影響。這些發現為進一步優化加工條件提供了科學依據,從而有助于制備理想的模擬肉類產品。