迄今為止,確保原料藥物API或制劑具有足夠的穩定性仍然是制藥業所面對的主要挑戰之一。一種藥物或制劑的“穩定性”如何更多是指其降解產物累積到給臨床治療可能帶來風險,或者帶來“顯著性變化”的程度的時間跨度,基于這個時間來確定產品的有效期(保質期)。
在制藥及相關領域,加速條件試驗通常用來預估藥物及制劑的有效期,較高的溫濕度會促進藥物及制劑的降解作用,并借助于Arrhenius公式進行外推獲得結果。加速試驗是正式的穩定性研究的一部分,通過使用超常的貯藏條件來加速原料藥或制劑的化學降解或物理變化。從這些研究中得到的數據也可以評估在非加速條件下更長時間內的化學變化以及評價在短期偏離標簽上所注明的儲存條件,如運輸過程中可能遇到的情況時的影響。
阿倫尼烏斯方程(Arrhenius公式)是基于范特霍夫方程(Vant Hoff 公式)基礎上推導出來描述化學反應動力學與溫度之間關系的經驗公式,由公式可知,溫度對化學反應速率的影響是顯而易見的。在其他條件固定不變的情況下,反應活化能隨著溫度升高而降低,反應速率則加快。有一個大體上的數量關系,是溫度每升高10℃,反應速率加快一倍。據此可以進行加速試驗,縮短反應時間。

此外,在制藥領域,濕度也是不可或缺的影響因素,因此需要對Arrhenius公式進行必要的修正,明確考慮了相對濕度(RH)對反應速率的影響(也就是相對濕度對穩定性的影響);通過合理的試驗設計,以評估不同儲存條件和包裝配置下的貨架期。
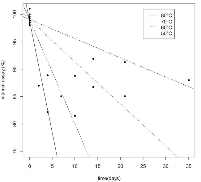
不同溫度對反應動力學的影響
在根據ICHQ1E進行推測有效期的時候,不管進行推算的數據來自加速試驗還是長期留樣試驗,都必須根據圖表確定樣品的反應動力學類型(零級,一級,二級……);然后,根據不同氣候區溫度(21℃、31℃和41℃,某些情況下4℃)推算主藥的含量,在由此得出的原料藥物主藥API含量變化的曲線圖上,沿平行X軸方向在主藥含量90%處作一條直線,曲線和直線的交叉處即是不同氣候區藥品的推算有效期。
不同濕度下的反應動力學系統
最后,需要指出的是,這里面有一個隱含前提,即所涉及的化學反應均為基元反應,反應動力學符合Arrhenius方程規律,否則會帶來擬合誤差,在此情況下需要采用其他方法進行估算,或者做出必要的修正。如果在溫度和主藥含量間沒有找到相應的數學關系,或者藥品性質的改變有時間依賴性,則只能對穩定性試驗數據進行回歸分析確定產品的有效期,而不能推算藥品的有效期。此時,長期留樣試驗的時間和結果就是決定產品有效期的唯一依據。
綜上,加速試驗是快速、準確評價藥物劑型化學穩定性的方法,常用于有效期的推算,對于符合Arrhenius方程規律的降解過程或老化進程,在制藥行業及食品、化工領域均有應用。
參考文獻:
Kenneth Craig Waterman,The Application ofthe Accelerated Stability Assessment Program (ASAP) to Quality by Design (QbD)for Drug Product Stability,AAPS PharmSciTech, Vol. 12, No. 3, 2011,932-937.
Naveršnik K,Jurečič R, Humidity-correctedArrhenius equation: the reference condition approach, International Journal ofPharmaceutics, 500,2016,360-365.
ASTM F1980-2016 Standard Guide forAccelerated Aging of Sterile Barrier Systems for Medical Devices
Keith J. Laidler,Thedevelopment of the Arrhenius equation, Journal of ChemicalEducation,1984,494-498
ICHQ1E 穩定性數據的評價,2003