光子源偏振糾纏驗證實驗
1900年,普朗克為了克服經典理論解釋黑體輻射規律的困難,引入了能量子概念,為量子理論奠下了基石。隨后,愛因斯坦針對光電效應實驗與經典理論的矛盾,提出了光量子假說,并在固體比熱問題上成功地運用了能量子概念,為量子理論的發展打開了局面。1913年,玻爾在盧瑟福有核模型的基礎上運用量子化概念,對氫光譜作出了滿意的解釋,使量子論取得了初步勝利。從1900年到1913年,可以稱為量子論的早期。以后,玻爾、索末菲和其他許多物理學家為發展量子理論花了很大力氣,卻遇到了嚴重困難。要從根本上解決問題,只有待于新的思想,那就是“波粒二象性”。光的波粒二象性早在1905年和1916年就已由愛因斯坦提出,并于1916年和1923年先后得到密立根光電效應實驗和康普頓X射線散射實驗證實,而物質粒子的波粒二象性卻是晚至1923年才由德布羅意提出。這以后經過海森堡,薛定諤、玻恩和狄拉克等人的開創性工作,終于在1925年到1928年才形成完整的量子力學理論,與愛因斯坦相對論并肩形成現代物理學的兩大理論支柱。
但針對于量子力學的完備性問題,愛因斯坦與波爾進行了十分長久的爭論。1935年,愛因斯坦、波多爾斯基和羅森提出了EPR佯謬。定域實在論的提出,讓眾多科學家爭論了數十年。1964年,貝爾不等式的提出,將這一理論上的問題轉換到了實驗中可驗證的領域。引起了科學家們的廣泛關注。為了驗證貝爾不等式的正確性,眾多科學家用不同的方法進行了實驗,其中阿蘭·阿斯佩、約翰·克勞澤、安東·塞林格三人貢獻zui為突出,因此獲得了于2022年獲諾貝爾物理學獎,以表彰對糾纏光子實驗、驗證違反貝爾不等式和開創量子信息科學方面所做出的貢獻。
為了驗證貝爾不等式,人們漸漸的將目光轉向了如何產生糾纏光子對這個問題上,經過數十年的發展,目前主要產生糾纏光子的方法主要有自發參量下轉換與自發四波混頻等。此處我們主要介紹自發參量下轉化。
自發參量下轉換過程,指的是一束高頻光(泵浦光,pump)入射到非線性晶體上,產生兩束低頻光的現象,這兩束低頻光分別稱為信號光(signal)和閑置光(idler)。當信號光和閑置光初始均處于真空態時,則稱為自發參量下轉換(SPDC)。
一般要求參量下轉換過程滿足所謂的位相匹配條件,即能量守恒條件和動量 守恒條件。我們用下標p、s、i分別表示泵浦光(pump),信號光(signal)、閑置光(idler),則能量守恒條件和動量守恒條件分別為:

其中,w表示頻率,k表示波矢量。
描述非簡并參量下轉換過程的相互作用哈密頓量為:

其中,χ(2)是二階非線性極化率;
和
分別表示k光的光子產生和湮滅算符。
一般來說,泵浦場較強,可作經典描述(稱為參量近似),于是上式變為:

其中,η∝χ(2)Ep,Ep為泵浦光的振幅。
實際上,非簡并自發參量下轉換過程還分為兩類。在第1類中,信號光和閑置光的偏振方向相同,且均與泵浦光的偏振方向垂直。在第二類中,信號光和閑置光的偏振方向垂直。下面分別予以討論。
在第1類SPDC中,信號光和閑置光的偏振方向相同,其相互作用哈密頓量可由式(4)表示。由于位相匹配條件的要求,信號光和閑置光的傳播方向分別位 于以泵浦光傳播方向為軸的同心圓錐的不同兩側(在非簡并情況下,信號光和閑置光位于不同圓錐;在簡并情況下,信號光和閑置光位于相同圓錐),如圖1和圖2所示。

圖1 第1類 SPDC光束示意圖
顯然,在滿足位相匹配條件的要求下,有無窮多種方式選擇信號光和閑置光的傳播方向,幾種光束截面,如圖2所示。

(a)光束截面(相同符號表示滿足位相匹配條件的共軛光子,中間圓上的兩個光子的頻率是簡并的)

(b)位相匹配條件
圖2 第1類SPDC 光束截面和位相匹配條件示意圖
設信號光和閑置光初始處于狀態
,則t時刻的狀態為:

將指數展開,并取到
項,得:

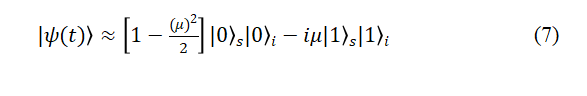
設
將其與式(4)代入式(6)可得:

其中,μ=ηt,上式中略去了含
的項。
上式是真空態和單光子態的糾纏態,可見利用第1類SPDC,可制備光子數態的糾纏態。
在第二類SPDC中,信號光和閑置光的偏振方向垂直。由于雙折射效應,信號光和閑置光將沿不同心的圓錐傳播,其中一束為正常波(o波),一束為異常波(e波),如圖3所示。在圓錐截面的重疊處,信號光子和閑置光子處于偏振糾纏態,如圖4所示。

圖3 第二類SPDC光束示意圖

圖4 第二類SPDC光束截面示意圖
我們用H和V分別表示水平偏振和垂直偏振,則在參量近似下,描述第二類SPDC的相互作用哈密頓量為:

其中,
與
分別表示產生H和V偏振的k模光子的光子產生算符。
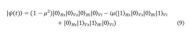
下面討論量子態的時間演化,對第二類SPDC,式(5)和式(6)的形式仍然成立,不過要用式(8)的哈密頓量,信號光和閑置光的初態
也要作相應變化。設
則利用式(6)和式(8)可得:

定義如下的偏振真空態和偏振單光子態,即:

則式(9)可寫為:
其中,第二項歸一化后的形式為:

這是zui大糾纏的偏振糾纏態。可見,利用第二類SPDC,可制備單光子偏振糾纏態,或者說,可以產生偏振糾纏的光子對。

圖5 糾纏光子源TPS 1550
昊量光電du家代理的獨立量子糾纏光子源TPS 1550,由法國Aurea公司推出。這是一臺高性能、緊湊且易于使用的獨立雙光子源,該糾纏源基于臺式設計,將溫度可調的ppln波導晶體與波長穩定的激光源結合在一起,可在室溫下使用。其僅用5mW的泵浦功率,在C波段產生正交偏振的頻率糾纏光子,光子數超過250000光子/秒。其在周期性極化鈮酸鋰ppln波導(準相位匹配-QPM)中,通過自發參量下轉換(SPDC)產生糾纏光子對,是量子信息技術的理想選擇。通過USB接口和專有軟件接口控制激光泵浦功率和晶體內部溫度,以高精度調整相位匹配。我們同時還提供DLL文件以方便您使用LabVIEW,C++,Visual basic等語言進行控制或二次開發。本次實驗我們將驗證其偏振性。
除了必要的光子源,我們還需要單光子探測器與高性能計數器。我們本次使用的是同樣由該公司推出的NIR單光子探測器模塊OEM,以及由Swabian公司推出的時間相關計數器 TimeTagger。
NIR單光子探測器模塊OEM為900 nm至1700 nm近紅外波段的單光子探測帶來了重大突破。其基于冷卻InGaAs/InP 蓋革模式單光子雪崩光電二極管技術,可執行“門控”(GM)和“自由運行”(FR)探測模式。針對您的需求,該單光子探測器提供了標準版與guan軍版兩個版本。guan軍版具有低至800 cps的超低噪聲、高達30 %的高校準量子效率、100 nszui小死時間、100 MHz外部觸發器、150 ps的快速分辨率和極低脈沖。標準級提供了非常有價值和成本效益的解決方案。SPD_OEM_NIR設計精良,結構緊湊,接口先jin,使用遠程控制軟件,提供Python、C++、LabVIEW的DLL,非常容易集成到要求苛刻的分析儀器和量子系統中。時間相關計數器 TimeTagger全系列分辨率為1ps,抖動zui低可達2ps,死時間可達1.5ns,zui多支持18通道,是您進行量子光學、激光雷達、熒光壽命成像、單光子源表征等領域的得力幫手。

圖6 單光子探測器模塊

圖7 時間相關計數器 Time Tagger Ultra
糾纏源、探測器與計數器的頁面如下圖所示。糾纏源可通過儀器自帶的觸摸屏進行衰減、晶體溫度、開關等設置,操作簡便。也可通過usb線連接至PC,在PC端進行設置。單光子探測器可實時觀察到當前實驗環境溫度與探測值,并可簡便修改Count rate、dead time、效率、探測模式等,我們還可以設置輸出信號參數形式,以數字信號、模擬信號、NIM進行輸出。我們選擇輸出數字信號進入計數器。計數器中有眾多預設,如“Counter time trace”、“Bidirectional Histogram”、“Logarithmic Histogram”等,可供不同應用需求進行選擇。我們選用“Bidirectional Histogram”模式,并可對Bin寬,Bin數與采集方式等進行修改。

圖8 糾纏源設置屏幕

圖9 探測器軟件界面

圖10 計數器軟件界面
本次實驗中我們設置光子源的衰減為5dB,探測器死時間為20μs,計數器Bin寬為500ps,本次實驗還需要1550nm激光器,1550nm準直器,偏振片,半波片與四分之一波片等。利用這些器材,我們就可以著手開始驗證其產生光子對的偏振糾纏性。

圖11 驗證光路示意圖

圖12 實際光路
我們搭建了如圖所示的光路,我們首先使用可見光源與功率計將準直器對準。然后更換為1550nm偏振光源與功率計,分步加入偏振片、半波片與四分之一波片并調整角度,zui后更換為光子源,單光子探測器與計數器,光子源的信號光與閑置光將分別經過光纖,通過四分之一波片、半波片與偏振片,zui后由探測器探測,由計數器進行符合。我們保持光路光路其他波片固定,通過轉動其中一個半波片并固定,我們可以在計數器中看到符合計數產生了變化。隨著半波片的旋轉,符合計數也隨之發生正弦變化。
本次實驗中,我們每次將旋轉半波片5度,固定后在計數器中采集10s,我們將在此角度得到一個符合計數,再旋轉半波片5度,重復上述步驟,我們可得到半波片不同角度下的符合計數。將符合計數記錄后進行擬合,具體可見圖,其中藍色線為可得到一正弦變化的曲線,其中散點為測試所得數據,黃色線為擬合正弦曲線。我們可以看出,所得數據點非常符合正弦曲線趨勢。zui高值與zui低值相差為45°,其中zui高值為818,zui低值為14,對比度約為98.2%,超過95%,證明了其偏振糾纏性。

圖13 符合計數隨角度呈正弦變化
通過本次實驗,我們使用了1550nm波長的相關光學器件、Aurea的單光子探測器與Swabian的1ps時間分辨率計數器,計算出TPS1550單光子糾纏源的對比度可達98.2%,證明了其偏振糾纏性。
如果您對糾纏源/單光子源有興趣,請訪問上海昊量光電的官方網頁:
https://www.auniontech.com/three-level-252.html
相關文獻:
[1] 物理學史[M]
[2] 量子光學[M]
更多詳情請聯系昊量光電/歡迎直接聯系昊量光電
關于昊量光電:
上海昊量光電設備有限公司是光電產品專業代理商,產品包括各類激光器、光電調制器、光學測量設備、光學元件等,涉及應用涵蓋了材料加工、光通訊、生物醫療、科學研究、國防、量子光學、生物顯微、物聯傳感、激光制造等;可為客戶提供完整的設備安裝,培訓,硬件開發,軟件開發,系統集成等服務。
您可以通過我們昊量光電的官方網站www.auniontech.com了解更多的產品信息,或直接來電咨詢4006-888-532。