


如今高性能實驗室天平可在各個方面為用戶提供支持,具有較強的實用功能和監管功能。然而,高性能實驗室天平是復雜且高度靈敏的測量設備。因此,根據設備的不同,安裝位置和用戶的專業知識等諸多不同影響因素均會影響其顯示結果。
有一種全新的動態功能可在從零到最大量程的整個稱重范圍內顯示每個測量值的不確定度。這特別有利于在受控環境中工作的客戶,對他們來說,稱重值的記錄至關重要;該功能允許對每個稱重值及其相應的不確定度進行打印。
賽多利斯服務可輕松設置所需的參數。考慮到多個參數對不確定度的影響,所用數值取自校準證書。所有影響參數在EURAMET cg-18中均有詳細的定義和說明。
該軟件功能對稱重結果不確定度的測量計算包括許多方面的不確定度因素,例如,零讀數和負載讀數的四舍五入、重復性、四角偏差、天平可能發生的變化以及使用地點溫度變化的浮力影響。此外,還包括示值誤差,及其在校準過程中確定的插值。
理論背景
EURAMET cg-18 介紹了稱重測量不確定度的完整計量學理論和背景。
通過以下已考慮多項修正值的公式,可對稱重結果W的可能影響因素進行一般性說明:
W = W* + δRinstr + δRprocR0= 校準后在經校準儀器上無負載情況下的讀數。
RL= 校準后在經校準儀器上稱重負載 L 時的讀數。
校準后直接顯示的重量值,可用以下方程:
W*= RL +δRdigL + δRrep + δRecc - (R0 + δRdis0) - E
應考慮以下使用中讀數的誤差來源:
δRdis0= 零讀數的四舍五入誤差
δRdigL= 負載讀數的四舍五入誤差
δRrep= 儀器的重復性
δRecc= 四角偏差引起的誤差
E= 校準證書中報告的讀數顯示誤差
一般來說,儀器用戶應意識到,在正常使用過程中,儀器稱重與校準時稱重在某些方面或通常在所有方面均不相同。
下項描述了儀器校準后在稱重過程中個別環境影響引起的誤差。
δRinstr =δRtemp+ δRbuoy+ δRadj
包括以下誤差影響:
δRtemp=環境溫度變化可能引起的儀器特性變化
δRbuoy=空氣密度變化可能引起的浮力變化
δRadj=自校準以來漂移或磨損(校準證書中未考慮)可能引起的儀器特性變化。
由于儀器的特殊操作而產生的誤差影響項為:
δRproc = δRTare + δRTime + δRecc
其中:
δRTare=天平除皮操作可能引起的變化
δRTime=蠕變和遲滯的可能影響(校準證書中未考慮)
δRecc=負載的四角偏差可能引起的誤差。
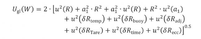
最后,可使用包含上述所有參數的以下公式計算測量的擴展不確定度Ugl (W):

這包括附加系數 a1 及其不確定度 u(a1),其來源于校準過程中結果誤差的線性回歸。
由于所有因素均為常量或與R、Ugl (W)成正比,因此可通過直線方程近似得出不確定度。
Ugl (W)≈αgl+βgl·R
其中截距為 αgl=Ugl (W=0),斜率為:

R為顯示的稱重值。

QApp 還可進一步將“活動”狀態設為開啟或關閉,即是否顯示不確定度。此外,用戶還可選擇不確定度以絕對值、相對值或過程精度表示。
相應地,QApp 會自動計算每個顯示重量W 相應的絕對測量不確定度 U = a + b · W(使用選擇的單位,即“g”或“mg”)或相對測量不確定度U* = U/W · 100%(以“%”計)。對于過程精度,相對測量不確定度的計算需乘以安全因子 | 過程精度因子,該因子可由用戶輸入:PA = ks · U*。

該因子可用于解釋校準期間和|或增加所述不確定度的置信區間時無法考慮的對用戶過程精度的影響。
如何理解顯示的測量不確定度值?
根據EURAM ET cg-18 確定的測量不確定度是一種擴展不確定度——這意味著對于任何讀數R,真實值在[R-U...R+U]區間內,概率為 95.45 %。對于圖 2 中的示例,這對應于真實值在[50.0011g–0.00582g...50.0011g+0.00582g]=[49.99528g...50.00692g]區間,概率為 95.45 %。
根據最新的良好文件記錄規范,還可在打印設置中選擇是否將不確定度打印出來。此外,還可輸入其他信息,如校準證書編號(從中獲取數值)、校準日期以及校準是否由經認證的校準實驗室進行。通過GLP打印設置,可決定是否打印(以及應打印哪些)應用程序參數和設置。

Summary
通過Cubis® II天平提供的這一全新功能,賽多利斯能讓用戶輕松確定測量結果的不確定度或初始樣品重量的過程精度,而無需根據校準證書中的圖表進行計算。因此,校準證書是包含相關信息的重要文件,為測試和測量設備的監測需求提供支持。