摘要
在藥物研發領域,蛋白質、肽和寡核苷酸等生物聚合物的界限正在逐漸模糊。因此,通過靈活的合成平臺快速獲取這些分子對于競爭性藥物開發至關重要。
本應用重點介紹了在 PurePep® Chorus 儀器上成功合成短寡核苷酸(18-24 個堿基)序列,展示了其在肽合成之外的多功能性。
簡介
現代藥物研發融合了多種新藥物類型,例如寡核苷酸序列、RNA、靶向蛋白質降解劑以及下一代多肽(例如“超越 5 規則”的環肽)。1為了保持針對特定靶標的潛在藥物的研發競爭力,快速靈活地獲取這些分子至關重要。
合成寡核苷酸在分子生物學和醫學領域中的作用日益突出。從基因調控研究到腫瘤診斷、治療和疫苗研發,寡核苷酸在我們的日常生活中變得越來越重要。2
Gyros Protein Technologies以其在全自動固相多肽合成儀領域的長期卓越表現而聞名。這些儀器的核心是 PurePep Pathway技術,這是一種流路閥塊系統,可在惰性氣體環境下將液體從溶劑/試劑瓶移動到反應容器中。由于寡核苷酸合成也需要惰性環境條件,我們著手使用模塊化 PurePep Chorus 合成儀將化學合成范圍從肽擴展到寡核苷酸。
本應用說明將展示如何實現短寡核苷酸引物的全自動合成,包括11 個 18-mer至 24-mer引物和已知藥物。
方法
寡核苷酸合成循環
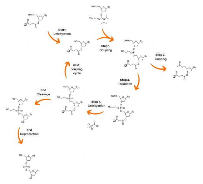
寡核苷酸固相亞磷酰胺化學合成循環涉及以下步驟(圖 1):3,4
脫保護:循環由去除固相載體連接核苷的 5’-DMT(4,4’-dimethoxytrityl)保護基開始。
循環步驟 1:偶聯
一旦 DMT 被去除,固相載體連接核苷的游離 5’-OH 基團就能夠與下一個作為亞磷酰胺單體添加的核苷發生反應。Tetrazole或5-(ethylthio)-1H-tetrazole用作偶聯的催化劑。
循環步驟 2:封端
一些 5’-OH 基團將保持未反應狀態。這些羥基將在下一個循環中發生反應,導致序列中缺少堿基(缺失序列)。為了防止缺失突變的積累,實施常規的封蓋反應。

圖 1 亞磷酰胺化學合成方法概述
循環步驟 3:氧化
氧化反應將不穩定的亞磷酸三酯轉化為穩定的磷酸三酯——氧化后的額外封端步驟對整個反應混合物起到脫水的作用。
循環步驟 4:脫三苯甲基化
在啟動下一個偶聯循環之前,DMT 保護基團被去除.
以裂解和脫保護結束
最終,用氨將全長寡核苷酸從固相中裂解下來,并進行熱處理以去除雜環堿基和磷酸二酯。
表 1 本研究期間合成的寡核苷酸。5

PurePep Chorus 上的寡核苷酸合成
我們采用 PurePep Chorus 肽合成儀,以 5 μmol 的規模,使用 Glen Research、Maravai LifeSciences 的可控孔徑玻璃(CPG) 合成載體(Subst. = 0.025 至 0.050 mmol/g),合成了表 1 中所示的不同寡核苷酸。
反應細節如下:
偶聯(步驟 1)使用 0.5 mL 0.1 Mnucleotide phosphoramidite(ACN 溶液)和 0.5 mL 0.5M 5-ethylthio-H-tetrazole(ACN 溶液)反應 2 x 2 分鐘。
封端(步驟 2)使用 0.5 mL Ac2O/Lutidine/THF 1:1:8 v/v 混合物和 0.5 mL 20% v/vN-Me--imidazole(THF 溶液)反應 2 分鐘(偶聯后),氧化步驟后反應 1 分 10 秒。
氧化(步驟 3)使用 含0.1 M iodine 的 THF/pyridine/water 88:10:2 v/v溶液反應 2 分鐘。
脫三苯甲基化(步驟 4)使用 含3% 三氯乙酸 (TCA) 的二氯甲烷 (DCM) 反應 2 x 2 分鐘。
裂解用 30% NH4 OH 水溶液和 40% methylamine水溶液的 1:1 v/v 混合物在室溫下反應 1 小時。
每個步驟之間用乙腈 (ACN) 清洗:脫保護和偶聯之間洗滌 4 x 15 秒;偶聯和封端、封端和氧化以及氧化和第二次封端之間洗滌 2 x 15 秒;第二次封端和脫保護之間洗滌 3 x 20 秒。
始終使用儲存在分子篩上的干燥乙腈,并在所有液體轉移和 CPG 干燥過程中使用氬氣,盡量減少暴露在空氣中。
使用 0.05M ((N,N-dimethylaminomethylidene)amino)-3H-1,2,4-dithiazole-5-thione (DDTT) 在pyridine/ acetonitrile (3:2)中進行硫化 1 分鐘。
純化
所有截短序列均通過封端乙酰化,且不攜帶疏水性 DMT 保護基團。脫鹽,并使用 Glen-Pak DNA 純化柱 (PN 60-5200-10) 通過反相固相萃取以 1 µmol 的規模將截短序列與 DMT 靶序列分離。
分析
將粗寡核苷酸溶液(100 uL 裂解溶液中取 5 uL)稀釋在 165 uL isopropanol (i-PrOH)/ACN/water(7:1:2)混合溶液中,然后在 Shimadzu HPLC (SPD-M20A 光電二極管陣列檢測器)上進行分析(3 uL 注射量)。分離在 C18-PFP、100 Å、3.0 μm、100 x 3.0 mm柱(Mac-Mod ACE Excel C18-PFP)上進行,耗時 15 分鐘,流速為 0.8 mL/min,使用 5-50% B / A 的梯度,其中緩沖液 A 為 0.1 M triethylamine acetate (TEAA) 水溶液(pH 7),緩沖液 B 為純 ACN。在四個波長處監測吸光度, 260 nm 檢測數據用于分析報告。在 ShimadzuLCMS2020 單四極桿 ESI 質譜儀上進行質譜檢測。另外,在 Agena Biosciences 公司使用 MALDI-TOF 質譜儀 MassARRAY Analyzer (Agena Biosciences, Inc.) 對最終產品進行質量測定。

圖 2 通用 pBluescript SK 引物合成的 UV260 nm 色譜圖,步驟 1 至 6(粗品、微裂解液)
結果與討論
寡核苷酸合成證明
在寡核苷酸序列 #1 的合成過程中,每次延伸至 8-10 個核苷酸的長度后,都會通過 LC/MS 監測增長的寡核苷酸鏈(圖 2)。
色譜圖表明,通過 PurePep Chorus 合成器上的自動寡核苷酸合成,可以有效延長目標序列。
采用 DMT-on 純化的高質量寡核苷酸
受到寡核苷酸偶聯研究初步結果的鼓舞,我們繼續合成寡核苷酸 #2。在這個例子中,我們強調了如何使用 DMT-on方法輕松去除雜質。圖 3 顯示了純化前的粗 DMT-on寡核苷酸(A 和 C)和純化后的 DMT-off寡核苷酸(B 和 D)。雖然從 UV 色譜圖可以看出改進,但通過 MS 分析觀察到剩余的截短序列(D)。對于 #2 也可以觀察到這種現象,其中多個截短序列隱藏在產品主峰下(圖 4)。

圖3 粗Genasense G3139 (DMT on)[A]和脫鹽Genasense 3139 (DMT off)[B]的UV260 nm色譜圖及其分別的MALDI-TOF質譜[C]和[D]。
與肽合成一樣,截短序列的形成是一個主要問題,尤其是對于較長的序列。每個偶聯步驟都會向樣品中添加一小部分。然而,在寡核苷酸合成中,這種復雜性更加關鍵,因為目標序列和截短序列具有非常相似的物理化學性質,因此難以用色譜法分離。DMT-on 方法是解決這個問題的一個非常簡單的方法,但是為了獲得非常高的峰純度,需要采用額外的純化技術。

圖 4 脫鹽通用 pBluescript SK 引物 (DMT 關閉) 的 UV260 nm 色譜圖 [A] 及其 MALDI-TOF 質譜 [B]。
不同寡核苷酸的自動合成
寡核苷酸序列 #3 至 #7 在 PurePep Chorus 上自動合成,并用 DMT-on 方法純化,純度非常好,如表 1 所示。
修飾寡核苷酸合成
研究表明,硫代磷酸酯有助于緩解體內使用寡核苷酸所面臨的主要挑戰,因為它可以降低各種細胞外和細胞內核酸酶的活性,并通過質膜將寡核苷酸遞送到細胞內部。6在本研究中,我們合成了三種硫代磷酸酯(#7 - #9)。
硫代磷酸酯衍生物合成過程中使用的硫化過程(圖 5)已知會產生立體異構體 α-磷原子,通常會產生非對映異構體。硫代磷酸酯寡核苷酸的這種固有特性使其分析 HPLC 譜圖復雜化,因為所得非對映異構體的洗脫時間會略有變化。在這些情況下,在分析 RP-HPLC 和 IE-HPLC 譜圖中可能會觀察到分裂或增寬的產物峰。7

結論
PurePep® Chorus 肽合成儀可在惰性條件下成功合成多種短(18-24 個堿基)寡核苷酸序列。我們還展示了使用相同平臺合成硫代磷酸酯和其他標記和特殊取代的寡核苷酸的方法。
結果一覽
參考
[1] M.-J. Blanco et al., ACS Med. Chem. Lett. 2022, 13,1691 - 1698
[2] L. Moumné et al., Pharmaceutics 2022, 14, 260
[3]https://www.sigmaaldrich.com/US/en/technicaldocuments/technical-article/genomics/pcr/dnaoligonucleotide-synthesis
[4]https://www.idtdna.com/pages/education/decoded/article/oligo-synthesis-why-idt-leads-the-oligo-industry
[5] https://www.lslabs.com/resources/universal-primer-list
[6] S.D. Putney et al., PNAS 1981, 78, 7350-735
[7]https://www.sigmaaldrich.com/US/en/technicaldocuments/technical-article/analytical-chemistry/largemolecule-hplc/profile-analysis-of-phosphorothiolatedoligos
PurePep Chorus全自動高通量多肽合成儀
