熱物性擬合中的敏感度分析
一、熱物性敏感度介紹
熱物性敏感度分析(Sensitivity Analysis)用于確定系統或模型對輸入參數或待擬合參數變化的敏感程度。熱物性敏感度分析主要作用包括識別關鍵因素、提高模型可靠性、不確定性評估、模型簡化等。以時域熱反射(TDTR)系統為例,影響敏感度的主要因素包括激光功率、激光光斑尺寸、調制頻率以及樣品的各項熱物性參數。敏感度一般推薦是在樣品制備之前進行,根據熱物性敏感度分析的結果來設計樣品和選擇實驗參數有利于擬合模型得出更加可靠的結果。
除此之外,熱物性敏感度分析還可以被用作模型簡化:通過識別不重要的變量,熱物性敏感度分析可以幫助簡化模型,減少計算復雜度和成本,同時保持模型的準確性。
二、熱物性敏感度的公式及相關參數
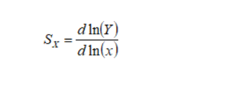
下面我們以時域熱反射(Time-Domain Thermoreflectance, TDTR)系統的敏感度分析為例,來理解敏感度分析的具體情況,敏感度的定義為:

其中 x 是模型參數,Y 為鎖相放大器信號, Sx 為信號對該模型參數x的敏感度,之所以使用對數形式是因為根據對數函數求導規則

這樣就可以消除信號自身強度對敏感度的影響,使得各個參數的敏感度可以進行橫向比較。
在TDTR,FDTR,SDTR中,可以用來擬合的鎖相放大器信號(Y信號)包括信號的幅值,相位、相位差、Vin、Vout、或整個復數信號Z。
時域熱反射技術(TDTR)中常用幅值信號、相位、有時也會使用復數信號隨延遲量的變化曲線進行擬合。頻域熱反射技術(Frequency-Domain Thermoreflectance, FDTR)一般使用相位信號隨頻率的變化曲線進行擬合。傳統的空間域熱反射技術(Spatial-Domain Thermoreflectance, FDTR)使用相位信號隨空間掃描位置坐標的變化曲線進行擬合,但這種方法存在相位差校準引入的誤差。昊遠精測公司WildFire-ONE 熱導率測量儀改進了傳統的空間域熱反射技術(SDTR),采用掃描位置與雙光斑重合位置的相位差隨掃描位置坐標的變化曲線做為擬合信號,同時使用了振幅信號隨位置坐標的變化曲線作為等效光斑尺寸的擬合信號。同時解決了相位矯正和光斑輸入的誤差,極大的提高了SDTR技術的準確性和可靠性。
時域熱反射技術(TDTR)中的參數包括,飛秒脈沖激光的重復頻率、等效光斑直徑、調制頻率、各層厚度、各層各向熱導率、各層熱容、各層界面熱阻(熱導)等。其他系統的基本類似。
三、熱物性分析軟件Thermo-Mind敏感度分析功能的用法
昊遠精測熱物性分析系統平臺軟件Thermo-Mind提供方便快捷的敏感度分析功能,可以極大的助力實驗進程高效的進行以及得到優質的實驗數據。下面我們以TDTR系統為例介紹一下熱物性分析軟件Thermo-Mind的敏感度分析的一些使用場景:
1,在制樣之前,客戶首先要大致規劃樣品的結構,并估算樣品的參數的數值。在這個階段,我們就推薦客戶對各參數進行敏感度分析,并根據敏感度分析的結果對初步的樣品結構以及部分參數(譬如樣品各層厚度)進行優化調整。
絕大多數熱物性測量(包括TDTR、FDTR、SDTR、3OMEGA諧波法等)都是基于模型擬合的方式進行測量的。在擬合過程中,如果將有過多的參數設為待擬合參數,往往效果不佳甚至出現明顯錯誤的結果。所以在規劃實驗階段,首先就要先確定哪些參數為輸入參數(已知參數),哪些為待擬合參數(未知參數)。此時推薦進行敏感度分析對樣品結構設計進行優化,優化的原則是:輸入參數敏感度越小越好,待擬合參數敏感度越大越好。輸入參數敏感度小會降低實驗結果對輸入參數誤差的依賴性,提高系統擬合結果的可靠性。待擬合參數敏感度越大則會增加待測參數擬合的精度。
2,在樣品制備完成之后,一般是通過更改調制頻率來調控各參數的敏感度的。調制頻率和熱場的穿透深度直接相關,熱穿透深度公式為:

從上式可以看出,對于任意樣品,都有調制頻率越高穿透深度越淺,調制頻率越低,穿透深度越深。不論是各光熱反射方法還是3Omega諧波測溫法都是通過樣品表面溫度的變化來計算相關模型輸出信號的。不同穿透深度會更多的攜帶其穿透深度內的信息到達表面溫度場。所以控制不同的穿透深度對測量結果有著至關重要的作用。Thermo-Mind軟件敏感度分析功能可以針對不同的樣品結構幫助客戶鎖定zui優的調制頻率。
3,在實際TDTR測量中,很多時候會存在這樣的現象(以下以兩個參數擬合的過程為例),即在某個頻率下待測參數A的敏感度非常低,同時待測參數B的敏感度較高;在另外一個頻率下,待測參數A的敏感度較高,同時待測參數B的敏感度非常低。如果經過敏感度分析發現樣品的確存在這種現象,則可以選擇先在第1個頻率處把B參數固定在某個數值上,僅對A參數進行擬合。第二步再在第二個頻率下,把第1步擬合出的參數A當成輸入參數,對參數B進行擬合。此后再將第二步得到的參數B帶入第1個頻率下的數據進行擬合,如此迭代可以極大的提高測量的準確性和可靠性。
值得一提的是,昊遠精測zui新版的Thermo-Mind-TDTR軟件增加了多頻擬合功能,客戶可以根據敏感度分析的結果對多個zui優頻率進行整體擬合,從而方便快捷的得到可靠的測量結果。
如您有任何關于熱物性敏感度的問題,您可以和昊遠精測的工程師及專家進行溝通探討。
此外昊遠精測提供各種專業熱物性測試服務,服務之前我們都會對您的樣品進行詳盡的敏感度分析,和您共同制定優化的測試方案,以期得到準確和可靠的結果。歡迎大家咨詢聯系:
昊遠精測光電科技(上海)有限公司
電話:4006-888-762
郵箱:info@autinst.com
網址:www.autinst.com