青藏高原是全球最大的高原,也是世界上最大的冰川聚集地之一。然而,近年來,隨著全球溫室氣體排放的增加和降水量的減少,青藏高原的冰川融化速度加快,引起了廣泛關注。
青藏高原的冰川融化對環境和人類社會產生了廣泛的影響。不僅導致水資源供應不穩定,還加劇了洪水和干旱的風險。同時,冰川融化減少了冰川的蓄水功能,使得干旱時期的水資源供應更加困難。
此外,冰川融化還會影響有機/無機碳和CO2之間的碳平衡,但其中緣由,目前尚不清楚,科研學者對此進行了相關研究。
青藏高原冰川湖中CO2和CH4同位素組成及排放特征

河流、湖泊、濕地和水庫等內陸水域被認為是大氣中溫室氣體 (GHG) 的重要來源。內陸水域排放的二氧化碳 (CO2) 和甲烷 (CH4) 會影響當地大氣中的溫室氣體水平,并影響不同生態系統之間的熱交換。冰凍圈融化產生的溫室氣體排放在全球范圍內引起了廣泛關注,但目前對冰川化地區的研究有限。青藏高原 (TP) 的冰川面積在低緯度和中緯度最大,平均海拔高于 4000 m,由于快速變暖和降水模式的變化,TP的冰川正在經歷嚴重的融化和迅速退縮。這就導致了大量冰川湖的形成和發展。從2008年到2017年,TP中的冰川湖數量以306個/年的速度增加,2017年有15,348個湖泊。在TP的冰川化地區進行的多項研究表明,冰川大量融化期間,會釋放CH4并主要吸收CO2,這對全球碳預算具有重要影響。但是,目前尚不清楚冰川湖的形成會如何影響有機/無機碳和CO2之間的碳平衡,以及CH4和CO2的產生和消耗途徑。
基于此,研究人員于2022年5月首次對青藏高原13個冰川湖溫室氣體特征進行了調查。通過頂空平衡法測量了CO2和CH4濃度及其同位素組成(δ13C)( Picarro G2201-i碳同位素分析儀),估計了CO2和CH4通量,并計算了CO2和CH4的碳同位素分餾(ac),利用貝葉斯混合模型(MixSIAR)確定CO2源分配。收集水面下10 cm深度的水樣,測定溶解有機碳(DOC)和溶解無機碳(DIC)濃度及其碳同位素組成和主要陽離子。原位測量了水pH、電導率、DO,TDS、溫度、222Rn以及氣溫和風速。旨在了解青藏高原冰川湖CO2和CH4的排放特征,探索其潛在的生產和消耗途徑。

每個冰川區域所研究的冰川湖的位置。
【結果】

CH4 (a) 和 CO2 (b) 通量。

CO2 和 CH4 的穩定同位素。

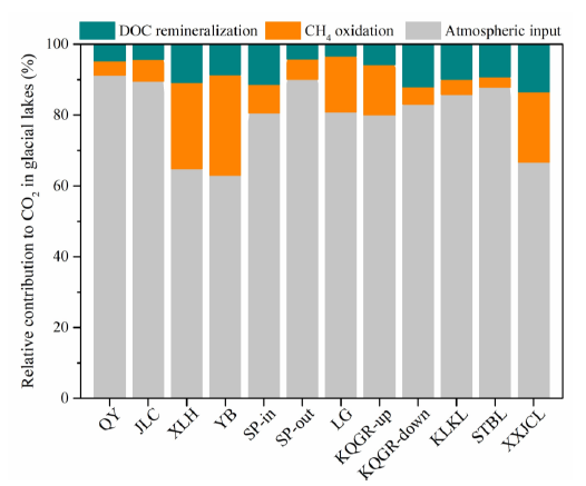
基于MixSIAR 結果的青藏高原冰川湖中大氣輸入、DOC再礦化和CH4氧化對CO2的貢獻百分比。
【結論】
本研究調查了青藏高原冰川湖中CH4和CO2的排放通量和同位素組成。結果表明了冰川湖CO2匯和CH4源的不同作用。CO2消耗率與北極冰川河流和湖泊相當,這表明CO2消耗可能是冰川地區的普遍現象。CO2消耗歸因于化學風化。在氣候變暖的情況下,隨著冰川融化的加劇,冰川下的化學風化率預計會增加,因此,如果冰川湖是一致的CO2匯,碳封存將比本研究中估計的大。同時,TP氣溫升高可能會影響冰川湖中某些細菌的相對豐度,從而進一步影響溫室氣體排放或消耗。盡管在所研究的三個湖泊中捕獲到了冒泡現象,但TP其余冰川湖通常都在輕微地釋放CH4,且這種碳排放可能會被CO2消耗所抵消,從而對全球變暖產生負面影響。潛在的CH4厭氧氧化和低DOC含量可以部分解釋這種低CH4排放。CH4產熱起源仍需進一步使用δD-CH4或clumped isotopes進行限制。作為冰川湖CO2和CH4排放及同位素組成的首次原位調查,本研究中的湖泊代表了青藏高原的一個小型冰川流域,未來應對大型冰川區域進行長期調查以了解冰凍圈的碳相互作用和反饋。
請點擊下方鏈接,閱讀原文:
https://mp.weixin.qq.com/s/YvdPB02ZLv-OTuiHL4bMSw