近年來,全球環境問題日益突出,資源的合理利用和環境的保護已成為全人類共同面臨的挑戰。水分是生命的基礎,對于植物的生長發育和生態系統的穩定運行起著至關重要的作用。然而,人類的過度開采和污染已導致嚴重的水資源短缺、土壤荒漠化等問題。
沙柳作為一種生長在貧瘠土壤和干旱地區的植物,具有很強的水分利用能力和環境適應性。沙柳生長迅速,枝葉茂密,根系繁大,固沙保土力強,是中國沙荒地區造林面積最大的樹種之一。同時,它長而發達的根系,能夠迅速吸收土壤中的水分,高效利用水資源。其表面一層厚厚的葉蠟,也能夠減少水分的蒸發和流失,有效避免土壤干燥和水分的浪費。
因此,通過對沙棘的深入研究和廣泛應用,我們可以有效地解決環境保護的問題。接下來這篇相關論文,我們來了解一下沙柳的水分利用來源。
基于穩定同位素分析毛烏素沙地東北部不同林齡人工沙柳的水分利用來源

沙柳具有很好的應對非生物脅迫(如干旱、寒冷、低肥力)的能力,已廣泛引入毛烏素沙地東北部以防風固沙及改善生態系統功能和服務。然而,早期引入的沙柳出現了退化和枯死現象。預計由于氣候持續變暖和人為干預增加,沙柳人工灌叢將出現更嚴重的干旱脅迫。鑒于人類世日益嚴重的水資源短缺和土壤荒漠化的持續擴大。了解植物與土壤水分關系并實施合理的水分管理策略,必須確定人工植被在沙漠生態系統中的水分利用模式。然而,對于不同發育階段沙柳的特性、調控和水源差異等研究還知之甚少。
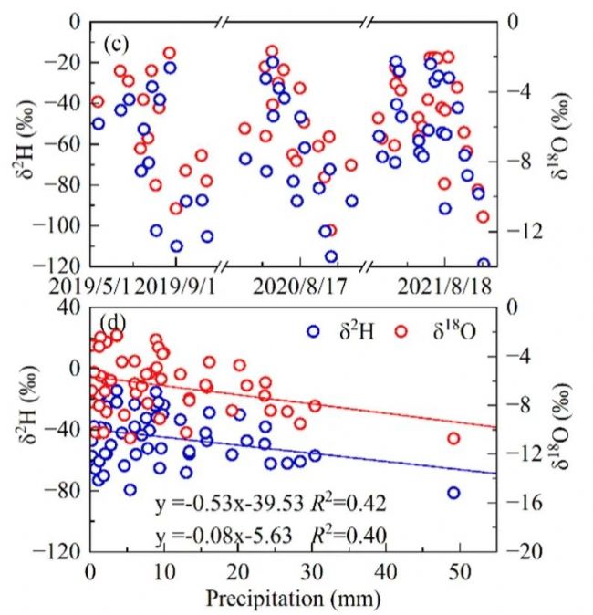
基于此,為確定毛烏素沙地圪丑溝小流域(38°11′–38°53′ N,109°21′–110°03′ E)不同林齡(6年、12年和18年)人工沙柳水分利用模式的季節變化和控制因素,揭示老化沙柳枯死的潛在機制,理解土壤水-植物的關系和人工植被的生態適應性。來自中國科學院地理科學與資源研究所的研究者們于2019-2021年5-10月(5、6、10月為旱季;7、8、9月為雨季)植物生長季進行了相關研究。試驗開始前,作者采集了土壤樣品,確定其土壤顆粒組成,總N含量(TN)及總P含量(TP)。采集了根系樣品,確定植物根系分布。試驗期,采集了0-20 cm、20-40 cm、40-60 cm、60-90 cm、90-120 cm、120-150 cm、150-200 cm、200-250 cm及250-300 cm土壤樣品,將其分為兩部分,一部分用來測定同位素,一部分用來測定土壤含水量(SWC)。同時采集了植物木質部樣品。并于降水事件后收集降雨,采集降水量和氣溫數據。通過計算土壤干燥化指數(SDI)描述土壤水分虧缺狀態。利用LI-2000植物土壤水分抽提系統(北京理加聯合科技有限公司)提取木質部和土壤中的水分。利用Picarro L2130-i水同位素分析儀確定土壤水及降水的δ18O和δ2H。同時確定木質部水的δ18O和δ2H。最后通過MixSIAR模型區分并量化植物水源。
【結果】



潛在水源對沙柳水分吸收貢獻率的季節性變化。
【結論】
在整個生長季,6年沙柳>60%的水源來自于0–120 cm土壤層。相比之下,12年和18年沙柳具有更大程度的生態可塑性,分別從旱季120-300 cm(71.93%)和40-200 cm(68.91%)水源轉變到雨季的0-120 cm(65.09%和56.14%)水源。根系和土壤含水量垂直分布的變化是影響不同林齡沙柳水分利用模式季節性變化的主要因素。18年林分中,嚴重的土壤干涸和死根削弱了老化沙柳的生態可塑性,降低了其吸收深層水(200-300 cm)的能力,從而導致沙柳退化。因此,野外管理措施,例如(i)通過沙柳退化枝條覆蓋地面以減少土壤水蒸發;(ii)使成熟沙柳稀疏以減少水分消耗;(iii)通過對最佳植物密度或生物量進行建模來確定植被閾值,以指導所研究地區的未來植被恢復。在這項研究中,針對沙柳擬議的管理實踐可以為世界其他沙漠地區相似林齡人工恢復植物的水分利用策略提供參考。
請點擊下方鏈接,閱讀原文:
https://mp.weixin.qq.com/s/XvOHLC-ZLI2BPmZt7vLH-g