
植被根系水分吸收在水分運移過程中發揮著重要作用,且在土壤-植物-大氣界面具有多重影響,尤其是半干旱和干旱生態系統中。具有高生態可塑性的各種荒漠物種的根系水分吸收模式適應了有效水資源,從而產生了物種特異性抗旱機制。因此,測量根系活動和量化每個貢獻者大小的定性和定量方法,特別是在(半)干旱地區,尚未得到廣泛研究,并且仍然是當前研究工作的挑戰。已有許多研究應用水穩定同位素方法研究了植物的吸水模式,但研究對象多集中在樹木和灌木上,且許多文獻提到干旱地區不可預測的降水事件對最常見的植物吸水模式的顯著影響。
基于此,在本研究中,來自中國地質科學院水文地質環境地質研究所和自然資源部地下水科學與工程重點實驗室的研究團隊以戟葉鵝絨藤-一種常見的荒漠共生藤本植物為研究對象,采用基于水穩定同位素的多源線性混合模型識別和量化了其在生長期的水分吸收模式,同時消除了脈沖降水事件對根系吸水顯著的短期影響。旨在深入了解戟葉鵝絨藤和其他荒漠藤本物種的吸水模式,從而加深對干旱區生態水文地質循環中水分運移過程的理解,并為可持續發展以及荒漠植被的管理和維護提供科學依據。

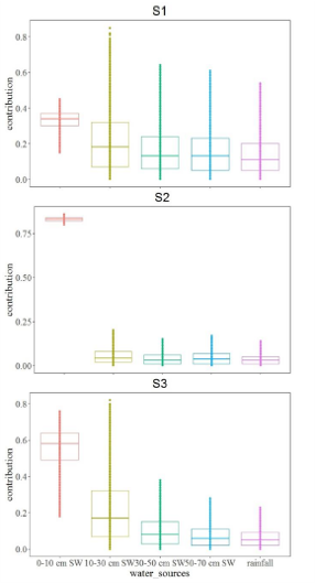
作者于2019年8月12日收集了降雨。并于2019年8月20日、2019年8月22日和2019年8月24日收集了3個不同地點的戟葉鵝絨藤莖部和不同層土壤(0-10 cm、10-30 cm、30-50 cm和50-70 cm)樣品。利用全自動真空冷凝抽提系統(LI-2100,北京理加聯合科技有限公司)提取土壤和植物莖中的水分。
【結果】
當降水事件的影響最小化時,0~10 cm土壤水是戟葉鵝絨藤生長階段的主要水源,該物種對降雨的相對吸收與10~70 cm土壤水的相對吸收成正比,與0~10 cm土壤水的相對吸收成負比。戟葉鵝絨藤依靠其活性根系橫向延伸,從淺層土壤中汲取水分以在極端干旱條件下生存,與其他深根植物形成的共生關系密不可分。



【結論】
西北干旱區常見降水的最大入滲深度在50 cm左右,其周期性強作用持續5~10天。與深根系荒漠植被相比,戟葉鵝絨藤的抗旱機制涉及到利用其廣泛的近地表活性根系提取淺層土壤。本文還研究了中國西北干旱地區荒漠藤本植物在生長期的吸水策略,同時消除了脈沖降水事件的顯著短期影響,研究結果為深入理解土壤-植被循環中水分運移過程提供了依據。在未來的研究中,該研究結果可以與植物根系的直接證據相結合,將戟葉鵝絨藤的吸水行為與其共生物種結合起來,以揭示其相互作用機制以及水分利用模式。此外,人工同位素標記技術在生態水文過程的應用也具有一定的研究潛力。
點擊下方鏈接,閱讀原文:
https://mp.weixin.qq.com/s?__biz=MjM5NjE1ODg2NA==&mid=2650313105&idx=2&sn=f22d2bc5c31493ef99af155100667730&chksm=bee1bd6e8996347882c8424b87257a2c2b6ee74ba083972a5c47c4910145c765eea39484284e&token=2031202150&lang=zh_CN#rd