位于青藏高原東北部的青海湖,擁有著豐富的自然景觀,既優美壯麗又獨具特色。然而,在氣候變化和人類過度開墾畜牧等因素的影響下,青海湖的環境逐漸惡化,生態遭到破壞,沙漠化面積也日益擴大。據統計,青海湖周邊地區現有沙化土地170.7萬畝、占區域土地總面積的11.7%。
在植被恢復的過程中,青海湖地區的典型固沙植物沙蒿、沙棘和烏柳等對土壤養分及土壤有機質的提高發揮了較大的作用,其中自然植被沙蒿對土壤養分的改良效果最明顯。
沙蒿 (學名:Artemisia desertorum)是菊科蒿屬多年生半灌木狀植物,天然生長在沙漠地區,分布甚廣。在我國主要分布在黑龍江、內蒙古、陜西、寧夏、甘肅、青海、新疆、四川、西藏等地,多生長于草原、草甸、森林草原、高山草原、荒坡、礫質坡地、干河谷、河岸邊、林緣及路旁等。沙蒿枝條匍匐生長,有利于防風阻沙,具有適應性強、耐干早、抗風蝕、喜沙埋、生長快、固沙作用強等特點,為固沙先鋒植物。
接下來我們來了解一篇關于青藏高原東北部高寒沙地沙蒿根系在沙丘不同地貌部位的吸水策略的論文。

沙漠化是青藏高原東北部的主要土地退化問題之一。青海湖位于青藏高原東北部,屬于高寒半干旱氣候影響下的生態脆弱區和全球氣候變化敏感區,青海湖周邊土地沙漠化嚴重。以前針對本區固沙植物的研究主要集中在植物的防風固沙機理與生態功能上,對植物與水分關系的關注較少,尤其是本土物種在不同微地貌導致的不同供水條件下。
本研究中作者收集了0-120 cm土層樣品,利用全自動真空冷凝抽提系統(LI-2100,北京理加聯合科技有限公司)提取土壤中的水分,并利用ABB LGR液態水同位素分析儀(Model DLT-100)測定水樣中的氫氧穩定同位素組成(δ2H和δ18O)。同時,于生長季節在采樣點測定植物的群落結構特征、根系分布及土壤機械組成。
基于此,青海大學的研究團隊以青海湖的自然固沙植物沙蒿作為研究對象,評估高寒半干旱沙地鄉土樹種的水土利用來源。
本研究聚焦于三個關鍵科學問題:
1)本土植物的季節性水源是什么?
2) 控制不同沙漠地貌部位用水差異的關鍵是什么?
3)根系分布及立地條件對植物的用水模式有什么影響?
基于以上科學問題,本研究的假設如下:
1)不同沙丘地貌部位的植物在不同季節使用不同的水源,
2)植物會傾向于在水有限的情況下使用深層土壤水或地下水。本研究結果將有助于指導高寒沙地植物種的篩選,以確保生態適應和結構優化。
【結果】

沙丘不同地貌部位沙蒿下方的土壤含水量(SWC, %)的季節變化。同一字母表示不同地貌部位無顯著差異(p > 0.05),不同字母表示不同地貌部位差異顯著(p < 0.05)。

不同沙丘地貌部位沙蒿的(A)生長高度、(B)冠幅、(C)蓋度和(D)密度。同一字母表示不同地貌部位無顯著差異(p > 0.05),不同字母表示不同地貌部位差異顯著(p < 0.05)。

沙蒿根系在不同沙丘地貌部位的分布特征。(A)迎風坡,(B)丘頂,(C)背風坡。

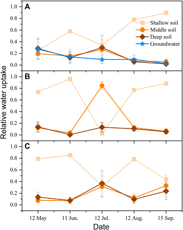
不同地貌部位沙蒿的吸水層次貢獻率。(A)迎風坡,(B)丘頂,(C)背風坡。
【結論】
本研究以高寒沙地天然分布的沙蒿作為研究對象,利用穩定同位素技術分析其在生長季節的水分利用來源變化情況。結果表明,盡管該物種具有較高的耐寒性和耐旱性,以及能吸收利用不同深度水源的能力。本區沙蒿在生長季初期主要依賴于表層土壤水分,迎風坡利用地下水。進入生長旺盛季,降雨量和土壤含水量都最高,沙蒿利用中層土壤水分。在生長期末期,淺層土壤水再次成為植物可利用的最多水源。總的來說,高寒沙地沙蒿使用的淺層土壤水最多,其吸水模式與分布在不同沙丘地貌的根系分布一致。沙丘微地貌不僅通過風力作用和土壤特性影響植被生長,也影響了植物的用水深度。