隨著人類對生物多樣性保護的持續關注,生活在日交替地暴露于空氣和淹沒于海水之中潮間帶螃蟹等動物近年來成為動物生理生態學及健康科學研究的熱點。由于生境的復雜多變,高濕度、高鹽度等環境和儀器測量技術發展限制,這些動物的科學研究一度受到很大的限制。
易科泰生態技術公司作為生態健康領域的高新技術企業,積10多年水生動物和陸生動物在動物行為、生理、生態監測等方面的技術經驗,可提供潮間帶動物等生理生態研究全面技術方案,如海洋動物生理生態(能量代謝)技術、兩棲動物呼吸代謝測量技術、動物行為監測技術,海岸帶生物多樣性及環境健康監測,廣泛用于動物養殖、動物保護與資源開發、海洋生態學、環境科學等研究中。

參考案例
1. Faria, S. C., Bianchini, A., Lauer, M. M., Zimbardi, A. L. R. L., Tapella, F., Romero, M. C., & McNamara, J. C. (2020). Living on the Edge: Physiological and Kinetic Trade-Offs Shape Thermal Tolerance in Intertidal Crabs From Tropical to Sub-Antarctic South America. Frontiers in Physiology, 11.
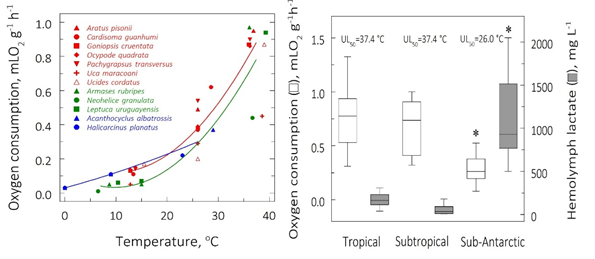
溫度是熱調節動物生物地理進化的主要非生物因素,它影響所有級別的組織,從亞細胞到系統,包括完整的有機體。溫度的有害影響往往超過生物體的恒向機制的調節能力,從而限制生命的分布,對生物地理分布造成限制。本文主要通過Foxbox來研究放置于3毫米海水深度的螃蟹熱耐受率和代謝進化,揭示在寒冷和溫暖的氣候中出現的生理轉變。

不同種類螃蟹在不同溫度下的單位體重氧氣消耗和平均血乳酸濃度
2. Lardies M A , Munoz J L , Paschke K A , et al. Latitudinal variation in the aerial/aquatic ratio of oxygen consumption of a supratidal high rocky-shore crab[J]. Marine Ecology, 2011, 32(1):42-51.
陸地環境的殖民在熱帶緯度更為明顯,因而半陸蟹和陸地蟹的多樣性很高。然而,在溫帶地區,也有大量甲殼類動物棲息在水-空氣界面的生態位置。評估這些動物呼吸空氣能力的一個方法是測量空中/水生耗氧比。
本研究的目的是測試熱變異對水生和空中代謝的影響,以及確定與緯度有關呼吸的補償能力。研究結果說明身體質量隨緯度變化顯著,空氣和水中單位體重呼吸代謝的差異持續存在,表明觀察到的 MR(代謝率)差異不是體型差異的影響。空中/水生呼吸代謝比接近1。發現的模式表明,低緯度地區空中和水生的代謝率增加,因此不支持溫帶生境的緯度補償假說。

不同溫度下螃蟹空氣和水中的氧氣消耗代謝
3. Capparelli M V , Bordon I C , Araujo G , et al. Combined effects of temperature and copper on oxygen consumption and antioxidant responses in the mudflat fiddler crab Minuca rapax (Brachyura, Ocypodidae)[J]. Comparative Biochemistry and Physiology Part C: Toxicology & Pharmacology, 2019, 223:35-41.
銅是所有生物體必需的微量營養素,用于各種生理生化過程。這個重金屬是多種酶過程中的輔助因子,但在高濃度下會產生潛在毒性。在受人為影響的工業、農業和港口等活動地區,銅可高達200mg Cu L-1。在甲殼類動物中,銅是氧氣輸送中呼吸色素血藍蛋白的天然成分,也在蛻皮周期和金屬硫蛋白合成中發揮作用。在水生物種中,鰓的氣體交換功能受到嚴重影響,導致血淋巴氧氣分壓明顯減少。一般來說,隨著溫度升高金屬毒性和氧氣消耗率增加,所有的新陳代謝過程都會受到溫度升高的刺激,導致氧化應激。
本研究調查了水性銅暴露和急性溫度變化對招潮蟹氧氣消耗和氧化應激生物標志物、谷胱甘肽S-轉移酶和谷胱甘肽過氧化物酶的綜合影響。實驗中使用Foxbox多通道呼吸代謝儀測量螃蟹空氣中氧氣消耗以及反應代謝敏感性的Q10,研究結論表明銅暴露會增加低溫下氧氣的消耗,但減少高溫下氧氣的消耗,以及變化的代謝響應。見下圖Fig1。

招潮蟹和其在不同溫度下空氣中的氧氣下消耗
4. Bacigalupe L D , Gaitan-Espitia J D , Barria A M , et al. Natural selection on plasticity of thermal traits in a highly seasonal environment[J]. Evolutionary Applications, 2018, 11.
對于地理分布廣泛的外溫物種,環境溫度(平均值和極端值)的緯度/海拔變化被認為決定自然種群的生理耐受率和適應能力(即表型可塑性程度)的進化。對于物種分布邊緣的不可預測、極端或異構生境中的種群來說,氣候變化預計將增加其局部滅絕的風險。在這種背景下,熱生理可塑性等特征將發揮基礎性作用,決定自然種群適應人為全球變暖的能力和速度。
本研究使用Foxbox研究背眼蛙在20和30攝氏度的標準代謝率及其代謝敏感度(Q10),Q10=(R2/R1)^(10/T2-T1),其中R2和R2分別為溫度為T2和T1時的單位體重耗氧量。總的來說,考慮到有可能有選擇個體特征的原因,研究沒有發現證據表明,這個群體的代謝熱適應正在被定向選擇作為目標。
