氣候變化對珊瑚生態系統的影響被廣泛討論,雖然氣候預報預測全球海水溫度將穩步上升,但區域水平的溫度變化將更加多變。例如,Yuan等人(2019)發現南中國海(SCS)熱帶和亞熱帶水域的升溫速率(0.038–0.074°C/年)高于預測。這種加速是令人擔憂的,因為該地區被認為是未來海洋變暖的珊瑚避難所,部分原因是亞熱帶水域的珊瑚群落經歷了更大的季節性溫度范圍,因此可能比比熱帶珊瑚更能忍受熱擾動。除氣溫波動外,預計亞熱帶地區與強降雨事件相關的地面徑流頻率和強度將增加,這些事件可能導致珊瑚白化和大量珊瑚死亡。
耐脅迫珊瑚如扁腦珊瑚(Platygyra spp.),被認為非常適合在邊緣礁生存,但對它們短期暴露在異常高溫和低鹽度下的生理反應仍然知之甚少。肉質扁腦珊瑚(Platygyra carnosa)是一種廣泛分布在中國南海且被認為環境波動耐受力強的物種,可更好地描述亞熱帶珊瑚的溫度和鹽度耐受性。香港城市大學海洋污染重點實驗室,利用無損測量技術(CISME水下原位呼吸代謝測量儀及Diving-PAM水下原位熒光儀),對高溫、低鹽處理下的肉質扁腦珊瑚P. carnosa的健康狀況如呼吸、光合作用、生物鈣化和白度等指標進行了試驗研究,確定了P. carnosa的能量可塑性和生理極限,評估了P. carnosa在氣候變化下的代謝過程。

代謝測量可以量化生物系統的能量消耗,并可觀測生物體健康。長期以來,珊瑚生理速率的測量一直備受關注,并開發了一些工具和方法以在野外和實驗室研究中獲得這些測量值。對底棲生態系統的新陳代謝研究利用環境室測量氧氣和pH隨時間的變化,作為生物過程的指標。最近,通過減小實驗裝置的尺寸和結構,對測量技術進行了改進,開發了水下呼吸作用測量儀,通過測量溶解氧、pH值和溫度來量化珊瑚呼吸和光合作用。

CISME是一種潛水員可操作的儀器,可對設定光強下測得的凈產氧速率與在黑暗條件下測得的凈耗氧速率進行比較。它包括電子控制模塊、平板電腦和孵育室測量頭等。這個小孵育室的裝置可將珊瑚表面密封,本試驗設計測量暗適應(5分鐘)期間的耗氧量,以及在模擬自然光(10分鐘)下,當室內水持續循環時,光合內共生體的后續產氧速率。

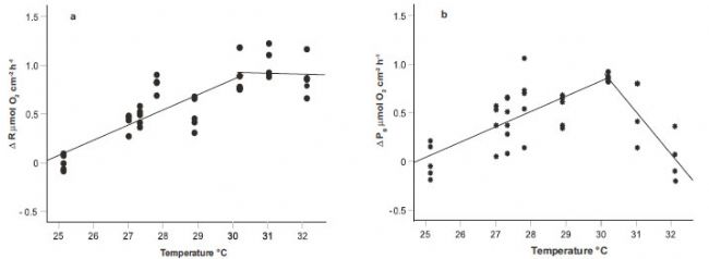
實驗表明盡管P. carnosa可以在溫度升高(25-32°C)的情況下存活,但其整體能量在溫度>30°C時嚴重降低。相反,P. carnosa對鹽度降低(31-21 psu)適應性強,但其生物鈣化率降低。表明該種珊瑚可短期適應由于降水量和降水強度的增加導致的鹽度變化。
這項研究為氣候因子對P. carnosa代謝的影響提供了有用的觀點,可更好地預測未來氣候變化情景下P. carnosa健康狀況的變化。并強調了使用水下呼吸測量儀現場實時監測珊瑚生存能力并將珊瑚生理狀態量化的必要性。
—— 實驗結果 ——

呼吸作用(R)隨溫度的升高而線性增加,從0.56 μmol O2 cm-2 h-1增加到最高1.57 μmol O2 cm-2 h-1,30°C時最高(Δ0.87±0.08 μmol O2 cm-2 h-1,p<0.01),但在30和32°C之間保持不變(Δ0.92±0.17 μmol O2 cm-2 h-1,p=0.86)。
Pg總光合速率也隨溫度升高至30°C呈線性增加(Δ0.84±0.02 μmol O2 cm−2h−1,p<0.01),但在32°C時顯著降低(Δ0.03±0.12 μmol O2 cm−2h−1,p<0.01)。

光合效率在30°C時稍有提高(Δ0.06±0.01 Fv/Fm,p<0.05),但在30°C以上,部分珊瑚片段的光合效率降低了約0.5 Fv/Fm。

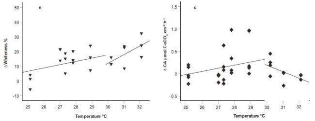
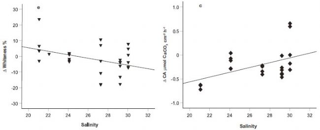
珊瑚白度的測量在所有溫度下都顯示出普遍的上升趨勢,盡管片段之間的變化較高。相比之下,鈣化速率在25到30°C之間保持不變(p=0.07),但在30到32°C之間顯著降低(Δ-79.62±34.46 μmol CaCO3 cm-2 h-1,p<0.05)。

呼吸速率R、總光合速率Pg和光合效率Fv/Fm的不受鹽度變化的影響(分別為p=0.62,p=0.32和 p=0.52)。

CA在最低鹽度下明顯降低(Δ-0.66±0.03 μmol CaCO3 cm-2 h-1,p<0.05),在最低鹽度水平下,珊瑚白度略有增加(Δ+7.72±5.68%,p<0.05)。

環境變化對珊瑚代謝的凈影響可表示為Pg/R,代表全功能體的代謝“健康”或狀態。在溫度效應方面,Pg/R在25-30℃的溫度范圍內穩定在~2.5~3.0之間,處于25℃的對照組測量范圍內,但隨后在30~32℃之間逐漸下降,約為對照組的一半(Δ-1.7±0.21,p<0.01;圖3a)。相比之下,盡管對照組和處理組的Pg/R值略低于幾周前溫度試驗期間測得的值(圖3b),但在整個鹽度范圍內,Pg/R沒有變化。

使用主坐標分析(PCoA)總結了歐氏距離。將代謝測量結果與溫度組進行了聚類。一般來說,25.15°C、27.01-28.9°C和30.2-31.12°C三組之間溫度影響顯著,這表明溫度從~27到~29°C的升高對珊瑚代謝沒有任何可檢測的影響(圖4a),類似于用Pg/R觀察到的情況。將代謝測量結果與鹽度組進行了聚類,表明鹽度降低1.25 psu/天,影響珊瑚代謝,但主要影響鈣化和白度(圖4d)。
—— 實驗材料及參數測量 ——
采樣點
香港大鵬灣(22.502°N - 114.356°E),赤州的一個淺水區,(2 - 4米深),此處P.carnosa群體數量豐富,易于觀測。
采樣
2018年4月13日,使用SCUBA從健康獨立的群體采集十二個珊瑚片段(表面積30-45cm2),裝于透明自封袋標記并在2小時內運至實驗室。
實驗前預培養
培養于室外水箱(300 L),從附近吐露港引入自然流動海水(流速1L/min),避光培養3周。吐露港的海水狀況與赤州附近采集點的海水狀況相似,海水狀況完全在P.carnosa的耐受范圍內。
理化參數
用YSI多參數水質分析儀(YSI EXO2,Xylem)監測現場和實驗水箱中海水的理化學參數(溫度、鹽度、pH、溶解氧和濁度),每次實驗前使用標準液(Xylem)校準。
總堿度AT測定
實驗第二天采集散海水樣本,立即用飽和氯化汞溶液(最終濃度為0.08%)對樣品進行固定,分析前將其避光冷藏儲存(+4°C)。參考《海水二氧化碳測量最佳實踐》(Dickson等人,2007年)敞口式酸度電位滴定法,使用配有DGi115-SC電極的G20s梅特勒-托利多自動滴定儀,分析樣本體積20 g。
珊瑚生理指標測量
使用水下呼吸代謝測量儀(CISME,CISME Instruments LLC)在珊瑚表面測量呼吸作用(R)和凈光合作用(Pn)速率。總光合作用Pg=|R|+Pn。以孵育期間的氧通量計量。每次光照孵育結束,收集循環室的水樣以測量總堿度AT。
珊瑚鈣化率(CA)的測定:采用堿度異常技術(Schoepf,2017),珊瑚表面積標準化為24.5 cm2。
珊瑚總能量:Pg/R
珊瑚白度:用Primer 5.0軟件(Primer-E,Ltd)的SIMPER工具測量對照組和實驗組珊瑚在照片顏色組成上的差異百分比,表示白度值。
共生體光合能力
使用水下脈沖調制熒光儀Diving-PAM(Heinz Walz,Effeltrich,Germany)測量最大光量子產量(Fv/Fm)。
測量時間
有對珊瑚片段的測量都在中午(上午10:30至下午1:30)進行。調節室內的LED強度,使其與珊瑚采集點當天中午的現場輻照度(約460 μmol m-2s-1)相匹配。
—— 文章來源 ——
Dellisanti W, Tsang R H L, Ang Jr P, et al. Metabolic performance and thermal and salinity tolerance of the coral Platygyra carnosa in Hong Kong waters. Marine Pollution Bulletin, 2020, 153: 111005. DOI: 10.1016/j.marpolbul.2020.111005.